Đề tuyển sinh THPT môn Toán năm 2022 2023 sở GD ĐT Hải Phòng

  • Đề thi vào lớp 10

Đề thi tuyển sinh THPT môn Toán năm 2022-2023 sở GD ĐT Hải Phòng

Chúng tôi xin giới thiệu đến quý thầy, cô giáo và các em học sinh lớp 9 đề thi chính thức kỳ thi tuyển sinh vào lớp 10 THPT môn Toán năm học 2022-2023 sở Giáo dục và Đào tạo thành phố Hải Phòng. Đề thi bao gồm 02 trang với 06 bài toán dạng tự luận, thời gian làm bài 120 phút (không kể thời gian giám thị coi thi và phát đề). Kỳ thi được diễn ra vào sáng thứ Năm, ngày 09 tháng 06 năm 2022.

Một số câu hỏi trong đề tuyển sinh lớp 10 THPT môn Toán năm 2022-2023 sở GD&ĐT Hải Phòng:

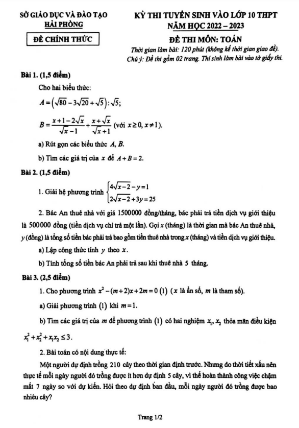
1. Bác An thuê nhà với giá 1.500.000 đồng/tháng, bác phải trả tiền dịch vụ giới thiệu là 500.000 đồng (tiền dịch vụ chi trả một lần). Gọi x (tháng) là thời gian mà bác An thuê nhà, y (đồng) là tổng số tiền bác phải trả bao gồm tiền thuê nhà trong x (tháng) và tiền dịch vụ giới thiệu. Hãy lập công thức tính y theo x và tính tổng số tiền bác An phải trả sau khi thuê nhà 5 tháng.

2. Một người dự định trồng 210 cây theo thời gian định trước. Do thời tiết xấu, mỗi ngày người đó trồng được ít hơn dự định 5 cây, vì thế hoàn thành công việc chậm mất 7 ngày so với dự kiến. Hỏi theo dự định ban đầu, mỗi ngày người đó trồng được bao nhiêu cây?

3. Để có một chiếc thùng hình trụ bằng tôn không có nắp có đường kính đáy là 40 cm và chiều cao là 60 cm, cần dùng tối thiểu bao nhiêu mét vuông tôn? (coi lượng tôn dùng để viền mép thùng thông đáng kể; lấy π = 3.14, kết quả làm tròn đến chữ số thập phân thứ 2).

Đánh giá bài viết cho thầy/cô vui 

0 / 5 0

Your page rank:

Avatar of Phan Quang
       

Về tác giả : Phan Quang

Giáo viên Toán học xuất sắc, sinh năm 1985 tại Hà Nội. Tốt nghiệp Đại học Sư phạm Hà Nội với bằng cử nhân Toán học, thầy có hơn 10 năm kinh nghiệm giảng dạy cấp 2 và ôn thi vào 10. Năm 2024, thầy sáng lập website daygioi.com – nền tảng giáo dục trực tuyến miễn phí, cung cấp bài giảng video, bài tập tương tác và tài liệu ôn tập cho hàng ngàn học sinh Việt Nam. Với phong cách dạy gần gũi, sáng tạo, thầy luôn khơi dậy niềm đam mê Toán học qua ví dụ đời thường. Được phụ huynh và học sinh yêu mến, thầy là nguồn cảm hứng cho thế hệ giáo viên trẻ.

       

Xem nhiều bài của tác giả : Phan Quang