Đề tuyển sinh môn Toán (chuyên) năm 2022 2023 sở GD ĐT Cần Thơ

  • Đề thi vào lớp 10

Đề thi tuyển sinh môn Toán (chuyên) năm 2022 – 2023 sở GD&ĐT Cần Thơ

Sytu xin được giới thiệu đến quý thầy cô và các em học sinh lớp 9 đề thi chính thức của kỳ thi tuyển sinh vào lớp 10 THPT môn Toán (chuyên) năm học 2022 – 2023 của sở Giáo dục và Đào tạo thành phố Cần Thơ. Kỳ thi sẽ diễn ra vào ngày 07 tháng 06 năm 2022.

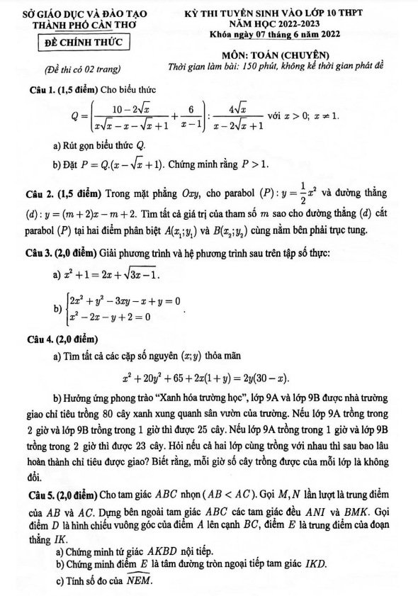
Trích dẫn một số câu hỏi trong đề tuyển sinh lớp 10 môn Toán (chuyên) năm 2022 – 2023 sở GD&ĐT Cần Thơ:

1. Trong mặt phẳng Oxy, có parabol (P): y = 1/2.x^2 và đường thẳng (d): y = (m + 2)x – m + 2. Hãy tìm tất cả giá trị của tham số m sao cho đường thẳng (d) cắt parabol (P) tại hai điểm phân biệt A(x1;y1) và B(x2;y2) cùng nằm bên phải trục tung.

2. Lớp 9A và lớp 9B được giao chỉ tiêu trồng 80 cây xanh xung quanh sân vườn trường. Nếu lớp 9A trồng trong 2 giờ và lớp 9B trồng trong 1 giờ thì được 25 cây. Nếu lớp 9A trồng trong 1 giờ và lớp 9B trồng trong 2 giờ thì được 23 cây. Hỏi nếu cả hai lớp cùng trồng thì sau bao lâu hoàn thành chỉ tiêu?

3. Cho tam giác ABC nhọn (AB

Đánh giá bài viết cho thầy/cô vui 

0 / 5 0

Your page rank:

Avatar of Phan Quang
       

Về tác giả : Phan Quang

Giáo viên Toán học xuất sắc, sinh năm 1985 tại Hà Nội. Tốt nghiệp Đại học Sư phạm Hà Nội với bằng cử nhân Toán học, thầy có hơn 10 năm kinh nghiệm giảng dạy cấp 2 và ôn thi vào 10. Năm 2024, thầy sáng lập website daygioi.com – nền tảng giáo dục trực tuyến miễn phí, cung cấp bài giảng video, bài tập tương tác và tài liệu ôn tập cho hàng ngàn học sinh Việt Nam. Với phong cách dạy gần gũi, sáng tạo, thầy luôn khơi dậy niềm đam mê Toán học qua ví dụ đời thường. Được phụ huynh và học sinh yêu mến, thầy là nguồn cảm hứng cho thế hệ giáo viên trẻ.

       

Xem nhiều bài của tác giả : Phan Quang