Đề tuyển sinh môn Toán (chuyên) năm 2021 2022 sở GD ĐT Bến Tre

  • Đề thi vào lớp 10

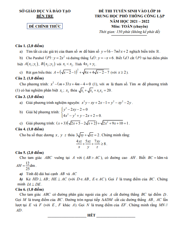
Đề tuyển sinh môn Toán (chuyên) năm 2021 – 2022 sở GD&ĐT Bến Tre

Sytu xin giới thiệu đến quý thầy cô và các em học sinh đề tuyển sinh lớp 10 môn Toán (chuyên) năm 2021 – 2022 sở GD&ĐT Bến Tre. Đề thi bao gồm các câu hỏi có đáp án và lời giải chi tiết.

Trích dẫn đề tuyển sinh lớp 10 môn Toán (chuyên) năm 2021 – 2022 sở GD&ĐT Bến Tre:

+ Cho tam giác ABC vuông tại A với (AB AC) có đường cao AH. Biết BC = 1dm và 12dm25 = AH.
a) Tính độ dài hai cạnh AB và AC.
b) Kẻ HD ⊥ AB; HE ⊥ AC (với D ∈ AB, E ∈ AC). Gọi I là trung điểm của BC. Chứng minh IA = DE.

+ Cho tam giác ABC có đường phân giác ngoài của góc A cắt đường thẳng BC tại điểm D. Gọi M là trung điểm của BC. Đường tròn ngoại tiếp ADM cắt các đường thẳng AB, AC lần lượt tại E và F (với E, F khác A). Gọi N là trung điểm của EF. Chứng minh rằng MN // AD.

+ Cho phương trình: 2xm^3 – 4m^2 – 4 = 0 với m là tham số. Tìm m để phương trình (1) có hai nghiệm phân biệt x1, x2 thỏa x1 + 2×2 = 20.

Đánh giá bài viết cho thầy/cô vui 

0 / 5 0

Your page rank:

Avatar of Phan Quang
       

Về tác giả : Phan Quang

Giáo viên Toán học xuất sắc, sinh năm 1985 tại Hà Nội. Tốt nghiệp Đại học Sư phạm Hà Nội với bằng cử nhân Toán học, thầy có hơn 10 năm kinh nghiệm giảng dạy cấp 2 và ôn thi vào 10. Năm 2024, thầy sáng lập website daygioi.com – nền tảng giáo dục trực tuyến miễn phí, cung cấp bài giảng video, bài tập tương tác và tài liệu ôn tập cho hàng ngàn học sinh Việt Nam. Với phong cách dạy gần gũi, sáng tạo, thầy luôn khơi dậy niềm đam mê Toán học qua ví dụ đời thường. Được phụ huynh và học sinh yêu mến, thầy là nguồn cảm hứng cho thế hệ giáo viên trẻ.

       

Xem nhiều bài của tác giả : Phan Quang