-
Đề thi vào lớp 10
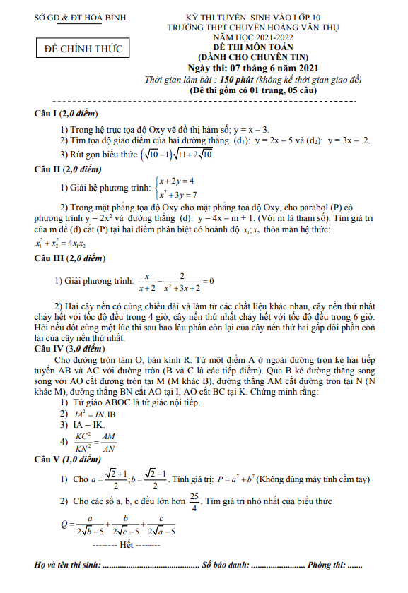
Đề thi vào lớp 10 môn Toán (chuyên Tin) năm 2021 – 2022 trường chuyên Hoàng Văn Thụ Hòa Bình
Sytu xin được giới thiệu đến quý thầy, cô giáo và các em học sinh đề thi tuyển sinh vào lớp 10 môn Toán (chuyên Tin) năm học 2021 – 2022 của trường THPT chuyên Hoàng Văn Thụ – Hòa Bình. Đề thi bao gồm đáp án, lời giải chi tiết và hướng dẫn chấm điểm (được công bố bởi Sở Giáo dục và Đào tạo tỉnh Hòa Bình); kỳ thi sẽ diễn ra vào ngày 07 tháng 06 năm 2021.
Trích đề thi vào lớp 10 môn Toán (chuyên Tin) năm 2021 – 2022 của trường chuyên Hoàng Văn Thụ – Hòa Bình:
– Trong mặt phẳng tọa độ Oxy, cho parabol (P) có phương trình y = 2x^2 và đường thẳng (d): y = 4x – m + 1 (với m là tham số). Tìm giá trị của m để (d) cắt (P) tại hai điểm phân biệt có hoành độ x thỏa mãn hệ thức: 2x^2 + 4 = x.
– Hai cây nến có cùng chiều dài, cây nến thứ nhất cháy hết trong 4 giờ, cây nến thứ hai cháy hết trong 6 giờ. Nếu đốt cùng một lúc, sau bao lâu phần còn lại của cây nến thứ hai gấp đôi phần còn lại của cây nến thứ nhất.
– Cho đường tròn tâm O, bán kính R. Từ một điểm A ở ngoài đường tròn kẻ hai tiếp tuyến AB và AC với đường tròn (B và C là các tiếp điểm). Qua B kẻ đường thẳng song song với AO cắt đường tròn tại M, đường thẳng AM cắt đường tròn tại N, đường thẳng BN cắt AO tại I, AO cắt BC tại K.