Đề thi thử Toán vào năm 2022 cụm trường THCS quận Ba Đình Hà Nội

  • Đề thi vào lớp 10

Đề thi thử Toán vào năm 2022 cụm trường THCS quận Ba Đình Hà Nội

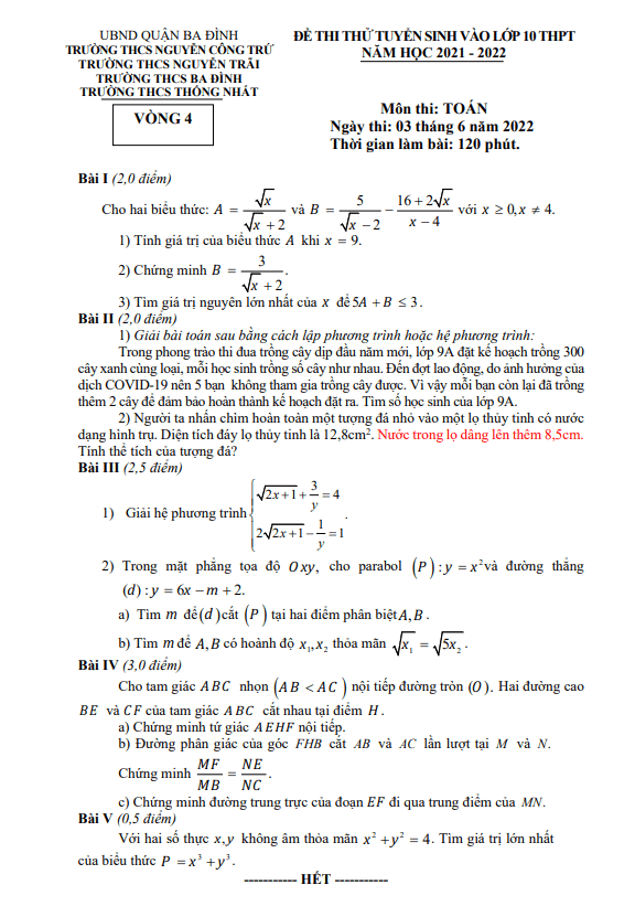
Xin chào quý thầy cô và các em học sinh lớp 9! Hôm nay Sytu xin giới thiệu đến mọi người đề thi thử môn Toán tuyển sinh vào lớp 10 THPT năm 2022 của cụm trường THCS trực thuộc UBND quận Ba Đình, Hà Nội. Cụm trường gồm các trường THCS Nguyễn Công Trứ, Nguyễn Trãi, Ba Đình, Thống Nhất và thành phố Hà Nội. Kỳ thi sẽ diễn ra vào thứ Sáu ngày 03 tháng 06 năm 2022. Đề thi bao gồm đáp án, lời giải chi tiết và hướng dẫn chấm điểm.

Dưới đây là một số câu hỏi mẫu trong đề thi thử:

Câu 1: Trong phong trào thi đua trồng cây dịp đầu năm mới, lớp 9A đã đặt kế hoạch trồng 300 cây xanh cùng loại, mỗi học sinh trồng số cây như nhau. Do ảnh hưởng của dịch COVID-19, 5 bạn không tham gia trồng cây được và mỗi bạn còn lại đã trồng thêm 2 cây để hoàn thành kế hoạch. Hãy tính số học sinh của lớp 9A.

Câu 2: Người ta nhấn chìm hoàn toàn một tượng đá nhỏ vào một lọ thủy tinh có nước dạng hình trụ. Diện tích đáy lọ thủy tinh là 12,8cm2, nước trong lọ dâng lên thêm 8,5cm. Bạn hãy tính thể tích của tượng đá.

Câu 3: Cho hai số thực không âm. Hãy tìm giá trị lớn nhất của biểu thức.

Đây chỉ là một phần nhỏ trong đề thi thử Toán vào lớp 10 năm 2022 của cụm trường THCS quận Ba Đình – Hà Nội. Chúc quý thầy cô và các em học sinh ôn tập tốt và đạt kết quả cao trong kỳ thi sắp tới.

Đánh giá bài viết cho thầy/cô vui 

0 / 5 0

Your page rank:

Avatar of Phan Quang
       

Về tác giả : Phan Quang

Giáo viên Toán học xuất sắc, sinh năm 1985 tại Hà Nội. Tốt nghiệp Đại học Sư phạm Hà Nội với bằng cử nhân Toán học, thầy có hơn 10 năm kinh nghiệm giảng dạy cấp 2 và ôn thi vào 10. Năm 2024, thầy sáng lập website daygioi.com – nền tảng giáo dục trực tuyến miễn phí, cung cấp bài giảng video, bài tập tương tác và tài liệu ôn tập cho hàng ngàn học sinh Việt Nam. Với phong cách dạy gần gũi, sáng tạo, thầy luôn khơi dậy niềm đam mê Toán học qua ví dụ đời thường. Được phụ huynh và học sinh yêu mến, thầy là nguồn cảm hứng cho thế hệ giáo viên trẻ.

       

Xem nhiều bài của tác giả : Phan Quang