Đề thi thử Toán vào lần 2 năm 2022 2023 phòng GD ĐT Quốc Oai Hà Nội

  • Đề thi vào lớp 10

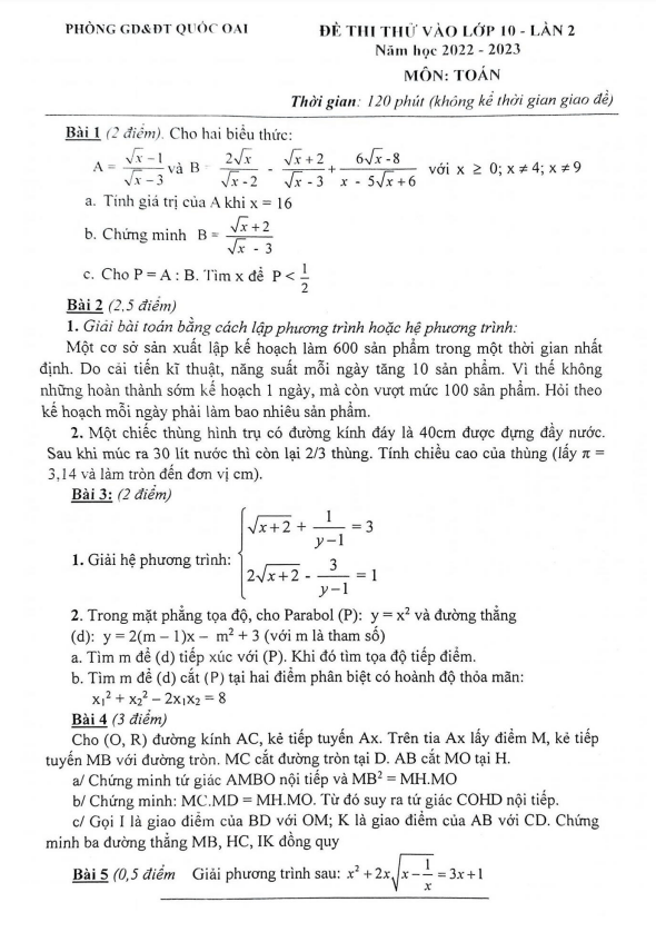
Đề thi thử Toán vào lần 2 năm 2022-2023 tại Quốc Oai

Chào quý thầy cô và các em học sinh lớp 9! Sytu xin giới thiệu đến bạn đọc đề thi thử môn Toán tuyển sinh vào lớp 10 THPT lần 2 năm học 2022-2023 của phòng Giáo dục và Đào tạo huyện Quốc Oai, thành phố Hà Nội.

Đề thi bao gồm các câu hỏi thú vị và bổ ích như sau:

1. Bài toán về sản xuất: Một cơ sở lập kế hoạch sản xuất 600 sản phẩm. Nhờ cải tiến kĩ thuật, năng suất mỗi ngày tăng 10 sản phẩm. Kế hoạch được hoàn thành sớm 1 ngày và vượt mức 100 sản phẩm. Hỏi mỗi ngày cần làm bao nhiêu sản phẩm?

2. Bài toán về hình trụ: Chiếc thùng hình trụ đựng đầy nước, sau khi múc ra 30 lít nước thì còn lại 2/3 thùng. Tính chiều cao của thùng.

3. Bài toán về parabol và đường thẳng: Tìm điểm tiếp xúc và điểm cắt giữa Parabol và đường thẳng.

Hy vọng rằng đề thi thử này sẽ giúp các em ôn tập hiệu quả và chuẩn bị tốt cho kỳ thi sắp tới. Chúc quý thầy cô và các em học sinh đạt kết quả cao trong kỳ thi sắp tới!

Đánh giá bài viết cho thầy/cô vui 

0 / 5 0

Your page rank:

Avatar of Phan Quang
       

Về tác giả : Phan Quang

Giáo viên Toán học xuất sắc, sinh năm 1985 tại Hà Nội. Tốt nghiệp Đại học Sư phạm Hà Nội với bằng cử nhân Toán học, thầy có hơn 10 năm kinh nghiệm giảng dạy cấp 2 và ôn thi vào 10. Năm 2024, thầy sáng lập website daygioi.com – nền tảng giáo dục trực tuyến miễn phí, cung cấp bài giảng video, bài tập tương tác và tài liệu ôn tập cho hàng ngàn học sinh Việt Nam. Với phong cách dạy gần gũi, sáng tạo, thầy luôn khơi dậy niềm đam mê Toán học qua ví dụ đời thường. Được phụ huynh và học sinh yêu mến, thầy là nguồn cảm hứng cho thế hệ giáo viên trẻ.

       

Xem nhiều bài của tác giả : Phan Quang