Đề thi Olympic lớp 11 môn Toán năm 2018 – 2019 trường THPT Kim Liên – Hà Nội

  • Đề HSG Toán 11

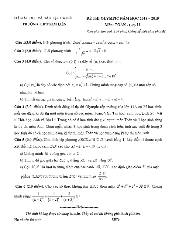
Đề thi Olympic Toán lớp 11 năm 2018 – 2019 trường THPT Kim Liên – Hà Nội

Sytu xin gửi đến thầy, cô và các em học sinh khối 11 thông tin về đề thi Olympic Toán lớp 11 năm 2018 – 2019 của trường THPT Kim Liên – Hà Nội. Đề thi bao gồm 01 trang với 06 bài toán tự luận, thời gian làm bài là 150 phút (không tính thời gian giám thị phát đề). Đề thi có lời giải chi tiết cho từng bài toán.

Đề thi Olympic lớp 11 năm 2018 – 2019 trường THPT Kim Liên – Hà Nội bắt đầu bằng bài toán về việc chọn ngẫu nhiên 3 học sinh từ danh sách đăng ký dự thi. Học sinh cần tính xác suất để trong 3 học sinh đó có cả học sinh đăng kí dự thi môn Toán và môn Anh.

Bài toán tiếp theo đưa ra một lập phương ABCD.A’B’C’D’ với cạnh bằng 1. Học sinh sẽ phải chứng minh một số điều về mối quan hệ giữa các điểm trên lập phương và tính toán các tỉ số đo góc.

Cuối cùng, đề thi yêu cầu học sinh giải phương trình đối với một dãy số và xác định tất cả các giá trị của a thỏa mãn điều kiện cho trước.

Đây là một đề thi đa dạng và phong phú, đòi hỏi sự tư duy logic và khả năng giải quyết vấn đề của học sinh. Hy vọng rằng các em sẽ có những phút giây thú vị và ý nghĩa khi tham gia vào bài thi. Chúc các em thành công!

Đánh giá bài viết cho thầy/cô vui 

0 / 5 0

Your page rank:

Avatar of Phan Quang
       

Về tác giả : Phan Quang

Giáo viên Toán học xuất sắc, sinh năm 1985 tại Hà Nội. Tốt nghiệp Đại học Sư phạm Hà Nội với bằng cử nhân Toán học, thầy có hơn 10 năm kinh nghiệm giảng dạy cấp 2 và ôn thi vào 10. Năm 2024, thầy sáng lập website daygioi.com – nền tảng giáo dục trực tuyến miễn phí, cung cấp bài giảng video, bài tập tương tác và tài liệu ôn tập cho hàng ngàn học sinh Việt Nam. Với phong cách dạy gần gũi, sáng tạo, thầy luôn khơi dậy niềm đam mê Toán học qua ví dụ đời thường. Được phụ huynh và học sinh yêu mến, thầy là nguồn cảm hứng cho thế hệ giáo viên trẻ.

       

Xem nhiều bài của tác giả : Phan Quang