Đề thi học sinh giỏi cấp tỉnh lớp 11 môn Toán năm 2018 2019 sở GD ĐT Vĩnh Long

  • Đề HSG Toán 11

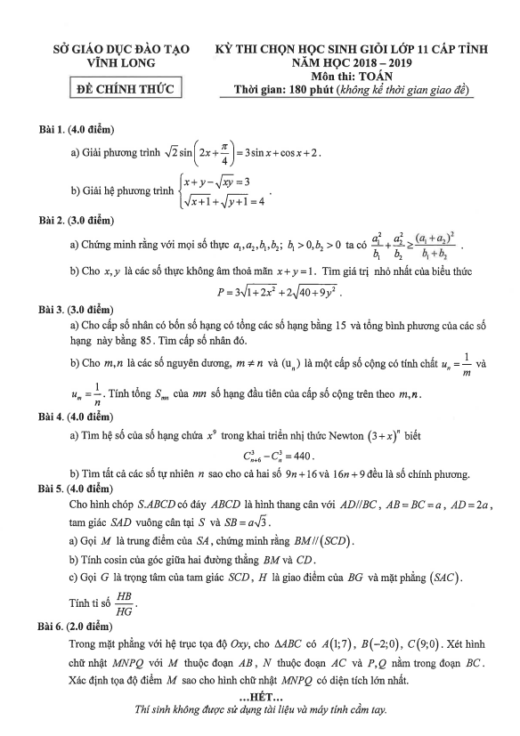
Đề thi học sinh giỏi cấp tỉnh lớp 11 môn Toán năm 2018 2019 sở GD ĐT Vĩnh Long:

Đề thi học sinh giỏi cấp tỉnh lớp 11 môn Toán năm 2018 2019 từ sở Giáo dục và Đào tạo Vĩnh Long là một tài liệu quan trọng đánh giá năng lực và kiến thức của học sinh trình độ cao. Đề thi này mang đến cơ hội cho các học sinh thể hiện khả năng giải bài toán, tư duy logic và sự tự tin trong việc giải quyết các vấn đề Toán học phức tạp. Với nhiều dạng bài tập và câu hỏi khó, đề thi này thách thức các thí sinh và khuyến khích họ tìm hiểu và khám phá sâu hơn về môn học Toán. Đồng thời, qua đề thi này cũng giúp học sinh rèn luyện kỹ năng làm bài thi đúng hạn, sắp xếp thời gian hiệu quả và tăng cường kiến thức Toán học. Qua đó, đề thi học sinh giỏi cấp tỉnh lớp 11 môn Toán năm 2018 2019 sở GD ĐT Vĩnh Long không chỉ là bài kiểm tra mà còn là cơ hội để học sinh phát triển bản thân và chuẩn bị tốt cho những thử thách mở rộng trong tương lai.

Đánh giá bài viết cho thầy/cô vui 

0 / 5 0

Your page rank:

Avatar of Phan Quang
       

Về tác giả : Phan Quang

Giáo viên Toán học xuất sắc, sinh năm 1985 tại Hà Nội. Tốt nghiệp Đại học Sư phạm Hà Nội với bằng cử nhân Toán học, thầy có hơn 10 năm kinh nghiệm giảng dạy cấp 2 và ôn thi vào 10. Năm 2024, thầy sáng lập website daygioi.com – nền tảng giáo dục trực tuyến miễn phí, cung cấp bài giảng video, bài tập tương tác và tài liệu ôn tập cho hàng ngàn học sinh Việt Nam. Với phong cách dạy gần gũi, sáng tạo, thầy luôn khơi dậy niềm đam mê Toán học qua ví dụ đời thường. Được phụ huynh và học sinh yêu mến, thầy là nguồn cảm hứng cho thế hệ giáo viên trẻ.

       

Xem nhiều bài của tác giả : Phan Quang