Đề thi KSCL lớp 10 môn Toán lần 1 năm 2018 2019 trường Trần Hưng Đạo Vĩnh Phúc

  • Đề khảo sát Toán 10

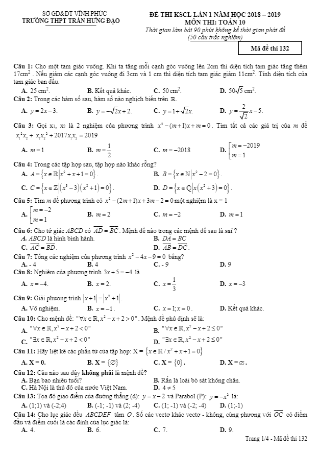
Đề thi Kiểm tra định kỳ lần 1 môn Toán lớp 10 năm học 2018-2019 trường Trần Hưng Đạo Vĩnh Phúc là cơ hội để học sinh thể hiện kiến thức và kỹ năng của mình sau một kỳ học. Đề thi gồm 50 câu hỏi và bài toán được biên soạn theo hình thức trắc nghiệm, thời gian làm bài là 90 phút. Một số câu hỏi đáng chú ý trong đề thi như mệnh đề phủ định của “Mọi động vật đều di chuyển”, cần phải xác định khả năng lý luận logic để chọn đáp án đúng. Các câu hỏi như về véc tơ và diện tích tam giác đều đòi hỏi kiến thức toán học cơ bản và khả năng áp dụng vào bài toán thực tế. Để đạt được kết quả tốt trong kỳ thi này, học sinh cần ôn tập kỹ lưỡng mọi khái niệm và phương pháp giải bài tập. Kỳ thi không chỉ đánh giá kiến thức mà còn đánh giá khả năng suy luận logic và giải quyết vấn đề của học sinh. Hy vọng rằng đề thi này sẽ giúp học sinh tự tin hơn trong việc học và rèn luyện kỹ năng Toán học của mình.

Đánh giá bài viết cho thầy/cô vui 

0 / 5 0

Your page rank:

Avatar of Phan Quang
       

Về tác giả : Phan Quang

Giáo viên Toán học xuất sắc, sinh năm 1985 tại Hà Nội. Tốt nghiệp Đại học Sư phạm Hà Nội với bằng cử nhân Toán học, thầy có hơn 10 năm kinh nghiệm giảng dạy cấp 2 và ôn thi vào 10. Năm 2024, thầy sáng lập website daygioi.com – nền tảng giáo dục trực tuyến miễn phí, cung cấp bài giảng video, bài tập tương tác và tài liệu ôn tập cho hàng ngàn học sinh Việt Nam. Với phong cách dạy gần gũi, sáng tạo, thầy luôn khơi dậy niềm đam mê Toán học qua ví dụ đời thường. Được phụ huynh và học sinh yêu mến, thầy là nguồn cảm hứng cho thế hệ giáo viên trẻ.

       

Xem nhiều bài của tác giả : Phan Quang