Đề Toán tuyển sinh vào 10 chuyên năm 2019 2020 sở GD ĐT Hưng Yên

  • Đề thi vào lớp 10

Đề Toán tuyển sinh vào 10 chuyên sở GD ĐT Hưng Yên

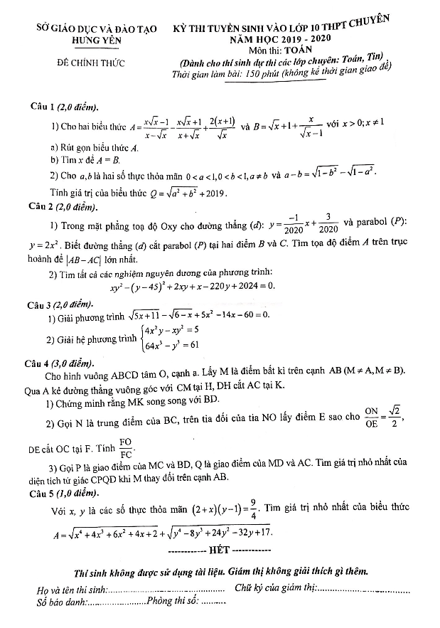
Để chọn lọc học sinh vào lớp 10 tại các trường THPT chuyên tại Hưng Yên, sở Giáo dục và Đào tạo tỉnh đã tổ chức kỳ thi Toán tuyển sinh. Đề Toán tuyển sinh vào lớp 10 THPT chuyên năm học 2019 – 2020 sở GD&ĐT Hưng Yên dành cho thí sinh dự thi vào các lớp chuyên Toán và chuyên Tin. Đề bao gồm 1 trang với 5 bài toán tự luận, thời gian làm bài 150 phút (không tính thời gian phát đề).

Dưới đây là một số câu hỏi trích dẫn từ đề Toán tuyển sinh vào 10 chuyên năm 2019 – 2020 sở GD&ĐT Hưng Yên:

  • Trong mặt phẳng toạ độ Oxy, có đường thẳng (d): y = -1/2020.x + 3/2020 và parabol y = 2x^2. Đường thẳng (d) cắt parabol tại hai điểm B và C. Hãy tìm tọa độ điểm A trên trục hoành để |AB – AC| lớn nhất.
  • Cho hình vuông ABCD tâm O, cạnh a. Lấy M là điểm bất kỳ trên cạnh AB. Qua A kẻ đường thẳng vuông góc với CM tại H, DH cắt AC tại K. Hãy chứng minh rằng MK song song với BD.
  • Gọi N là trung điểm của BC, trên tia đối của tia NO lấy điểm E sao cho ON/OE = √2/2, DE cắt OC tại F. Tính FO/FC.
  • Gọi P là giao điểm của MC và BD, Q là giao điểm của MD và AC. Tìm giá trị nhỏ nhất của diện tích tứ giác CPQD khi M thay đổi trên cạnh AB.

Kỳ thi Toán tuyển sinh vào lớp 10 chuyên năm 2019 – 2020 sở GD&ĐT Hưng Yên đánh giá năng lực và kiến thức của các thí sinh, từ đó chọn lọc học sinh có tiềm năng và đam mê trong lĩnh vực Toán học và Tin học. Đề thi là cơ hội để các thí sinh thể hiện khả năng và sự sáng tạo của mình trong giải quyết các bài toán phức tạp.

Đánh giá bài viết cho thầy/cô vui 

0 / 5 0

Your page rank:

Avatar of Phan Quang
       

Về tác giả : Phan Quang

Giáo viên Toán học xuất sắc, sinh năm 1985 tại Hà Nội. Tốt nghiệp Đại học Sư phạm Hà Nội với bằng cử nhân Toán học, thầy có hơn 10 năm kinh nghiệm giảng dạy cấp 2 và ôn thi vào 10. Năm 2024, thầy sáng lập website daygioi.com – nền tảng giáo dục trực tuyến miễn phí, cung cấp bài giảng video, bài tập tương tác và tài liệu ôn tập cho hàng ngàn học sinh Việt Nam. Với phong cách dạy gần gũi, sáng tạo, thầy luôn khơi dậy niềm đam mê Toán học qua ví dụ đời thường. Được phụ huynh và học sinh yêu mến, thầy là nguồn cảm hứng cho thế hệ giáo viên trẻ.

       

Xem nhiều bài của tác giả : Phan Quang