Đề thi học kì 2 (HK2) lớp 10 môn Toán năm học 2016 2017 trường THPT Hai Bà Trưng TT. Huế

  • Đề HK2 Toán 10

Đề thi Toán học kỳ 2 lớp 10 trường THPT Hai Bà Trưng TT. Huế năm học 2016-2017

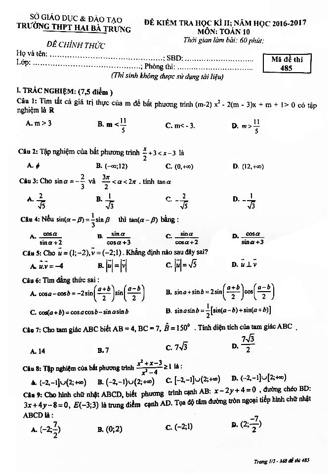
Đề thi học kỳ 2 môn Toán lớp 10 tại trường THPT Hai Bà Trưng TT. Huế trong năm học 2016-2017 bao gồm tổng cộng 23 câu hỏi trắc nghiệm và 3 bài toán tự luận. Phần trắc nghiệm đi kèm với đáp án, với những đáp án đúng được khoanh tròn.

Đánh giá bài viết cho thầy/cô vui 

0 / 5 0

Your page rank:

Avatar of Phan Quang
       

Về tác giả : Phan Quang

Giáo viên Toán học xuất sắc, sinh năm 1985 tại Hà Nội. Tốt nghiệp Đại học Sư phạm Hà Nội với bằng cử nhân Toán học, thầy có hơn 10 năm kinh nghiệm giảng dạy cấp 2 và ôn thi vào 10. Năm 2024, thầy sáng lập website daygioi.com – nền tảng giáo dục trực tuyến miễn phí, cung cấp bài giảng video, bài tập tương tác và tài liệu ôn tập cho hàng ngàn học sinh Việt Nam. Với phong cách dạy gần gũi, sáng tạo, thầy luôn khơi dậy niềm đam mê Toán học qua ví dụ đời thường. Được phụ huynh và học sinh yêu mến, thầy là nguồn cảm hứng cho thế hệ giáo viên trẻ.

       

Xem nhiều bài của tác giả : Phan Quang