-
Đề khảo sát Toán 9
Đề khảo sát Toán 9 lần 3 năm 2022 2023 phòng GD&ĐT Kinh Môn Hải Dương
Sytu xin gửi đến quý thầy cô và các em học sinh lớp 9 đề thi khảo sát chất lượng môn Toán lớp 9 lần 3 năm học 2022 – 2023 của phòng Giáo dục và Đào tạo UBND thị xã Kinh Môn, tỉnh Hải Dương. Đây là những bài toán được chọn lọc và thực tế, giúp học sinh rèn luyện và củng cố kiến thức Toán một cách hiệu quả. Hãy cùng tìm hiểu và giải quyết các bài toán thú vị này!
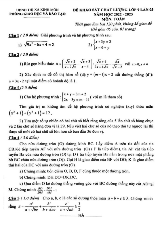
Trích dẫn một số câu hỏi từ Đề khảo sát môn Toán lớp 9 lần 3 năm 2022 – 2023 phòng GD&ĐT Kinh Môn – Hải Dương:
+ Tìm số m để đồ thị của hàm số y = (m – 1)x + 2 cắt đường thẳng y = 3x – 2 tại một điểm có hoành độ là 1.
+ Giải hệ phương trình với tham số m: (x² + 1) + (y² + 1) = 12. Tìm giá trị m không âm để hệ phương trình có nghiệm (x;y) thỏa mãn.
+ Xác định số tự nhiên có hai chữ số biết rằng tổng của 5 lần chữ số hàng chục và 2 lần chữ số hàng đơn vị là 29. Nếu viết hai chữ số của số đó theo thứ tự ngược lại thì được số mới có hai chữ số lớn hơn số ban đầu 36 đơn vị.
Hãy thử sức và học hỏi những kiến thức mới từ các câu hỏi này. Chúc quý thầy cô và các em có kết quả tốt khi tham gia bài kiểm tra này!