Đề thi học kì 1 (HK1) trường THPT Nguyễn Thượng Hiền TP. HCM 2010 2011

  • Đề HK1 Toán 12

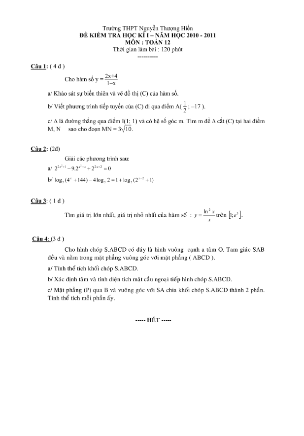
Đề thi học kì 1 trường THPT Nguyễn Thượng Hiền TP. HCM 2010-2011

Đề thi học kì 1 của trường THPT Nguyễn Thượng Hiền TP. HCM năm 2010-2011 là một sản phẩm mang tính chất quan trọng đối với học sinh trường này. Đề thi này không chỉ là công cụ kiểm tra kiến thức mà còn là cơ hội để các học sinh thử sức và đánh giá bản thân mình trong quá trình học tập.

Đề thi được thiết kế một cách tỉ mỉ và chi tiết, bao gồm các câu hỏi đa dạng từ kiến thức cơ bản đến nâng cao, giúp học sinh phát triển toàn diện các kỹ năng và kiến thức trong môn học. Ngoài ra, đề thi cũng đòi hỏi sự chăm chỉ, kiên trì và sự tự tin của học sinh khi đối diện với các bài thi thách thức.

Để làm bài thi tốt, học sinh cần phải ôn tập và rèn luyện kỹ năng giải bài tập một cách linh hoạt và logic. Đồng thời, họ cũng cần phải biết cách quản lý thời gian hiệu quả để hoàn thành đề thi một cách tốt nhất.

Đề thi học kì 1 trường THPT Nguyễn Thượng Hiền TP. HCM 2010-2011 không chỉ là một bài kiểm tra kiến thức mà còn là một cơ hội để học sinh thể hiện khả năng, sự nỗ lực và sự sẵn lòng học hỏi. Đây là cơ hội để học sinh thể hiện bản lĩnh và định hình tương lai học tập của mình.

Đánh giá bài viết cho thầy/cô vui 

0 / 5 0

Your page rank:

Avatar of Phan Quang
       

Về tác giả : Phan Quang

Giáo viên Toán học xuất sắc, sinh năm 1985 tại Hà Nội. Tốt nghiệp Đại học Sư phạm Hà Nội với bằng cử nhân Toán học, thầy có hơn 10 năm kinh nghiệm giảng dạy cấp 2 và ôn thi vào 10. Năm 2024, thầy sáng lập website daygioi.com – nền tảng giáo dục trực tuyến miễn phí, cung cấp bài giảng video, bài tập tương tác và tài liệu ôn tập cho hàng ngàn học sinh Việt Nam. Với phong cách dạy gần gũi, sáng tạo, thầy luôn khơi dậy niềm đam mê Toán học qua ví dụ đời thường. Được phụ huynh và học sinh yêu mến, thầy là nguồn cảm hứng cho thế hệ giáo viên trẻ.

       

Xem nhiều bài của tác giả : Phan Quang