Đề thi chọn học sinh giỏi lớp 12 môn Toán cấp trường năm 2017 2018 trường Lý Thái Tổ Bắc Ninh

  • Đề HSG Toán 12

Đề thi chọn học sinh giỏi Toán lớp 12 trường Lý Thái Tổ Bắc Ninh

Đề thi chọn học sinh giỏi Toán lớp 12 cấp trường năm 2017 – 2018 trường Lý Thái Tổ – Bắc Ninh bao gồm 5 bài toán tự luận, thời gian làm bài 180 phút. Đề thi cung cấp lời giải chi tiết và thang điểm để học sinh có thể tự kiểm tra và tự đánh giá kết quả.

Trích dẫn một số nội dung trong đề thi:

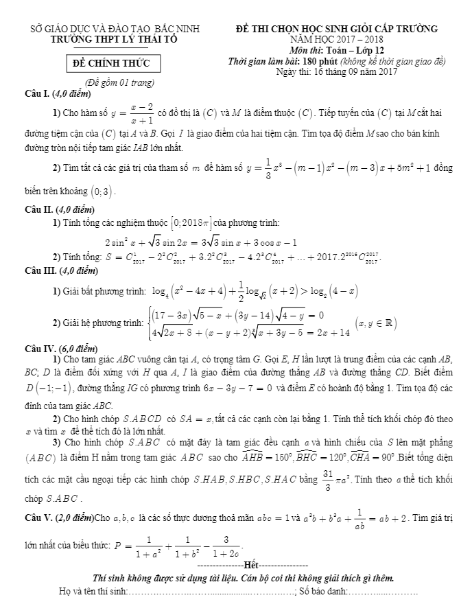
Bài 1: Cho tam giác ABC vuông cân tại A, có trọng tâm G. Gọi E, H lần lượt là trung điểm của các cạnh AB, BC; D là điểm đối xứng với H qua A, I là giao điểm của AB và CD. Biết điểm D (-1; -1), đường thẳng IG có phương trình 6x – 3y – 7 = 0 và điểm E có hoành độ bằng 1. Hãy tìm tọa độ các đỉnh của tam giác ABC.

Bài 2: Cho hình chóp S.ABCD có SA = x và các cạnh còn lại bằng 1. Tính thể tích khối chóp theo x và xác định giá trị của x khi thể tích đạt giá trị lớn nhất.

Bài 3: Xác định thể tích khối chóp S.ABC khi S.ABC là một hình chóp có mặt đáy tam giác đều cạnh a và các góc AHB = 150°, BHC = 120°, CHA = 90°. Biết tổng diện tích các mặt cầu ngoại tiếp S.HAB, S.HBC, S.HAC là 31/3πa².

Bài 4: Với hàm số y = (x – 2)/(x + 1), xác định tọa độ điểm M thuộc đồ thị của hàm số sao cho bán kính đường tròn nội tiếp tam giác IAB là lớn nhất, với I là giao điểm của hai tiệm cận của đồ thị.

Với những bài toán đa dạng và phong phú như vậy, đề thi chọn học sinh giỏi Toán lớp 12 trường Lý Thái Tổ Bắc Ninh hứa hẹn mang lại những thách thức và cơ hội cho học sinh thể hiện khả năng và kiến thức của mình.

Đánh giá bài viết cho thầy/cô vui 

0 / 5 0

Your page rank:

Avatar of Phan Quang
       

Về tác giả : Phan Quang

Giáo viên Toán học xuất sắc, sinh năm 1985 tại Hà Nội. Tốt nghiệp Đại học Sư phạm Hà Nội với bằng cử nhân Toán học, thầy có hơn 10 năm kinh nghiệm giảng dạy cấp 2 và ôn thi vào 10. Năm 2024, thầy sáng lập website daygioi.com – nền tảng giáo dục trực tuyến miễn phí, cung cấp bài giảng video, bài tập tương tác và tài liệu ôn tập cho hàng ngàn học sinh Việt Nam. Với phong cách dạy gần gũi, sáng tạo, thầy luôn khơi dậy niềm đam mê Toán học qua ví dụ đời thường. Được phụ huynh và học sinh yêu mến, thầy là nguồn cảm hứng cho thế hệ giáo viên trẻ.

       

Xem nhiều bài của tác giả : Phan Quang