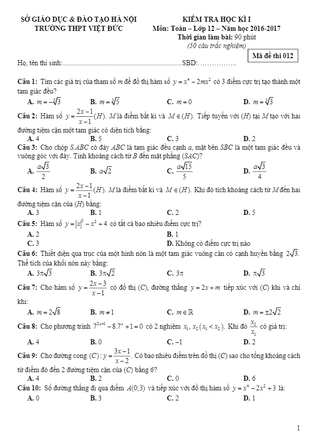
Đề thi học kì 1 (HK1) lớp 12 môn Toán trường THPT Đức Việt Hà Nội

  • Đề HK1 Toán 12

Đề thi học kì 1 (HK1) lớp 12 môn Toán trường THPT Đức Việt Hà Nội:

Đề thi học kì 1 (HK1) môn Toán lớp 12 trường THPT Đức Việt Hà Nội là một ví dụ điển hình cho sự cần cù và nỗ lực của học sinh trong quá trình học tập. Đề thi này không chỉ đánh giá kiến thức của học sinh mà còn đòi hỏi sự sáng tạo, logic và kỹ năng problem-solving. Với nhiều dạng bài tập, từ cơ bản đến phức tạp, đề thi này giúp học sinh rèn luyện khả năng tư duy logic, phân tích và giải quyết vấn đề một cách chính xác và hiệu quả.

Đánh giá bài viết cho thầy/cô vui 

0 / 5 0

Your page rank:

Avatar of Phan Quang
       

Về tác giả : Phan Quang

Giáo viên Toán học xuất sắc, sinh năm 1985 tại Hà Nội. Tốt nghiệp Đại học Sư phạm Hà Nội với bằng cử nhân Toán học, thầy có hơn 10 năm kinh nghiệm giảng dạy cấp 2 và ôn thi vào 10. Năm 2024, thầy sáng lập website daygioi.com – nền tảng giáo dục trực tuyến miễn phí, cung cấp bài giảng video, bài tập tương tác và tài liệu ôn tập cho hàng ngàn học sinh Việt Nam. Với phong cách dạy gần gũi, sáng tạo, thầy luôn khơi dậy niềm đam mê Toán học qua ví dụ đời thường. Được phụ huynh và học sinh yêu mến, thầy là nguồn cảm hứng cho thế hệ giáo viên trẻ.

       

Xem nhiều bài của tác giả : Phan Quang