Đề thi chọn HSG lớp 12 môn Toán năm học 2017 2018 trường THPT Lê Quý Đôn Thái Bình

  • Đề HSG Toán 12

Đề thi chọn HSG Toán lớp 12 năm học 2017 – 2018 trường THPT Lê Quý Đôn – Thái Bình

Đề thi chọn HSG Toán lớp 12 năm học 2017 – 2018 trường THPT Lê Quý Đôn – Thái Bình bao gồm 5 bài toán tự luận, thời gian làm bài 180 phút.

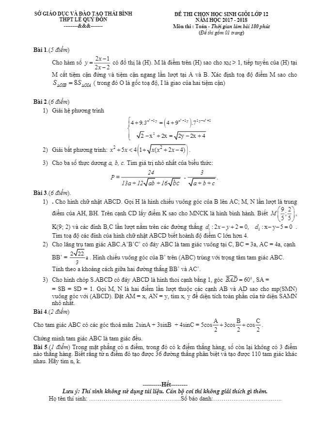
Bài 1: Cho hình chữ nhật ABCD. Gọi H là hình chiếu vuông góc của B lên AC; M, N lần lượt là trung điểm của AH, BH. Trên cạnh CD lấy điểm K sao cho MNCK là hình bình hành. Biết M(9/5; 2/5), K(9; 2) và các đỉnh B, C lần lượt nằm trên các đường thẳng d1: 2x – y + 2 = 0; d2: x – y – 5 = 0. Tìm toạ độ các đỉnh của hình chữ nhật ABCD biết hoành độ điểm C lớn hơn 4.

Bài 2: Cho lăng trụ tam giác ABC.A’B’C’ có đáy ABC là tam giác vuông tại C, BC = 3a, AC = 4a, cạnh BB’ = 2√22a/3. Hình chiếu vuông góc của B’ trên (ABC) trùng với trọng tâm tam giác ABC. Tính theo a khoảng cách giữa hai đường thẳng BB’ và AC’.

Bài 3: Cho hình chóp S.ABCD có đáy ABCD là hình thoi cạnh bằng 1, góc BAD = 60 độ, SA = SB = SD = 1. Gọi M, N là hai điểm lần lượt thuộc các cạnh AB và AD sao cho mp(SMN) vuông góc với (ABCD). Đặt AM = x, AN = y, tìm x, y để diện tích toàn phần của tứ diện SAMN nhỏ nhất.

Đây là một trong những đề thi có độ khó cao, đòi hỏi học sinh phải có kiến thức Toán vững chắc để giải quyết các bài toán phức tạp. Chúc các em thành công trong kỳ thi sắp tới!

Đánh giá bài viết cho thầy/cô vui 

0 / 5 0

Your page rank:

Avatar of Phan Quang
       

Về tác giả : Phan Quang

Giáo viên Toán học xuất sắc, sinh năm 1985 tại Hà Nội. Tốt nghiệp Đại học Sư phạm Hà Nội với bằng cử nhân Toán học, thầy có hơn 10 năm kinh nghiệm giảng dạy cấp 2 và ôn thi vào 10. Năm 2024, thầy sáng lập website daygioi.com – nền tảng giáo dục trực tuyến miễn phí, cung cấp bài giảng video, bài tập tương tác và tài liệu ôn tập cho hàng ngàn học sinh Việt Nam. Với phong cách dạy gần gũi, sáng tạo, thầy luôn khơi dậy niềm đam mê Toán học qua ví dụ đời thường. Được phụ huynh và học sinh yêu mến, thầy là nguồn cảm hứng cho thế hệ giáo viên trẻ.

       

Xem nhiều bài của tác giả : Phan Quang