-
Đề khảo sát Toán 9
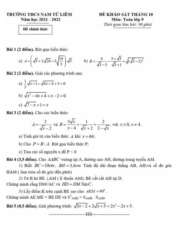
Đề khảo sát Toán lớp 9 tháng 10 năm học 2021 – 2022 trường THCS Nam Từ Liêm – Hà Nội
Đề khảo sát Toán lớp 9 tháng 10 năm học 2021 – 2022 tại trường THCS Nam Từ Liêm – Hà Nội bao gồm một trang cung cấp 05 bài toán dạng tự luận, thời gian làm bài 90 phút.
Đề khảo sát này yêu cầu học sinh giải các phương trình, tính giá trị của biểu thức, rút gọn biểu thức, tìm các số nguyên thỏa mãn điều kiện. Ngoài ra, đề cũng liên quan đến tam giác ABC vuông tại A, cung cấp các thông tin về đoạn thẳng, góc và các đường cao, đường trung tuyến trong tam giác.
Bằng cách thực hiện các phép tính, kế hoạch rõ ràng và sử dụng kiến thức toán học cơ bản, học sinh sẽ có cơ hội thể hiện năng lực và hiểu biết của mình trong môn Toán.