Đề khảo sát lớp 9 môn Toán lần 2 năm 2021 2022 phòng GD ĐT thành phố Bắc Ninh

  • Đề khảo sát Toán 9

Đề khảo sát Toán lớp 9 lần 2 năm 2021 – 2022 phòng GD&ĐT thành phố Bắc Ninh

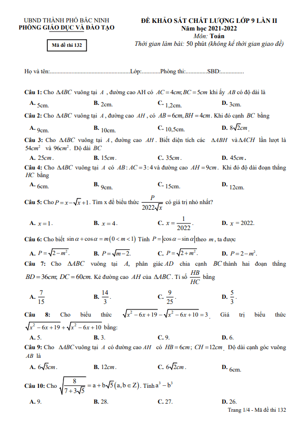
Đề khảo sát Toán lớp 9 lần 2 năm 2021 – 2022 phòng GD&ĐT thành phố Bắc Ninh bao gồm 40 câu trắc nghiệm trải qua 04 trang, thời gian làm bài là 50 phút.

Dưới đây là một số ví dụ câu hỏi trong đề khảo sát:

+ Cho tam giác ABC vuông tại A, đường cao AH có độ dài AC cm và BC cm là 4 và 5. Hỏi độ dài cạnh AB là bao nhiêu?

+ Trong tam giác ABC vuông tại A, đường cao AH, với AB cm và BH cm lần lượt là 6 và 4. Biết cạnh BC bằng bao nhiêu?

+ Biết ABC là tam giác vuông tại A, với đường cao AH, diện tích ABH và ACH lần lượt là 54cm và 96cm. Tính độ dài BC.

+ Tại tam giác ABC vuông tại A, AB/AC = 3/4 và đường cao AH có độ dài 9cm. Hỏi đoạn thẳng HC bằng bao nhiêu?

+ Cho P(x) = x^2 – x + 1. Tìm giá trị nhỏ nhất của biểu thức P(2022x).

Đây chỉ là một số câu hỏi trong đề khảo sát Toán lớp 9 lần 2 năm 2021 – 2022 của phòng GD&ĐT thành phố Bắc Ninh. Hy vọng các em học sinh sẽ làm tốt và đạt kết quả cao trong bài kiểm tra này. Chúc các em may mắn!

Đánh giá bài viết cho thầy/cô vui 

0 / 5 0

Your page rank:

Avatar of Phan Quang
       

Về tác giả : Phan Quang

Giáo viên Toán học xuất sắc, sinh năm 1985 tại Hà Nội. Tốt nghiệp Đại học Sư phạm Hà Nội với bằng cử nhân Toán học, thầy có hơn 10 năm kinh nghiệm giảng dạy cấp 2 và ôn thi vào 10. Năm 2024, thầy sáng lập website daygioi.com – nền tảng giáo dục trực tuyến miễn phí, cung cấp bài giảng video, bài tập tương tác và tài liệu ôn tập cho hàng ngàn học sinh Việt Nam. Với phong cách dạy gần gũi, sáng tạo, thầy luôn khơi dậy niềm đam mê Toán học qua ví dụ đời thường. Được phụ huynh và học sinh yêu mến, thầy là nguồn cảm hứng cho thế hệ giáo viên trẻ.

       

Xem nhiều bài của tác giả : Phan Quang