Đề học sinh giỏi thành phố Toán THPT năm 2022 2023 sở GD ĐT Hải Phòng

  • Đề HSG Toán 12

Đề học sinh giỏi Toán THPT Hải Phòng năm 2022-2023

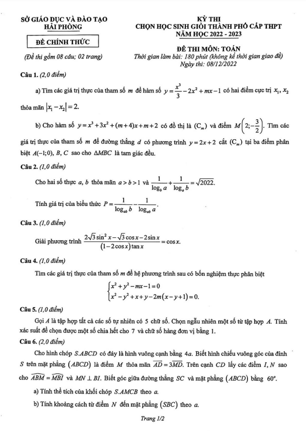
Trong kỳ thi học sinh giỏi Toán cấp THPT năm 2022-2023 của sở GD&ĐT Hải Phòng, đề thi bao gồm 2 trang với 8 bài toán dạng tự luận, thời gian làm bài là 180 phút. Kỳ thi diễn ra vào ngày 08 tháng 12 năm 2022.

Trích dẫn một số bài toán trong đề:

  1. Bài 1: Tính xác suất để chọn được số tự nhiên có 5 chữ số chia hết cho 7 và chữ số hàng đơn vị bằng 1.

  2. Bài 2: Tính thể tích khối chóp S.AMCB và khoảng cách từ điểm N đến mặt phẳng (SBC) dựa vào thông số a.

  3. Bài 3: Tìm tọa độ các điểm A, B, C trong hình thang ABCD và biết rằng đỉnh B thuộc đường thẳng có phương trình x-2y+4=0.

  4. Bài 4: Tìm giá trị lớn nhất của biểu thức P với ba số thực dương x, y, z thỏa mãn điều kiện cho trước.

Đề thi học sinh giỏi Toán THPT Hải Phòng năm 2022-2023 là cơ hội để các em học sinh thử sức và phát huy khả năng của mình trong môn Toán. Chúc các em học tập tốt và đạt kết quả cao trong kỳ thi sắp tới!

Đánh giá bài viết cho thầy/cô vui 

0 / 5 0

Your page rank:

Avatar of Phan Quang
       

Về tác giả : Phan Quang

Giáo viên Toán học xuất sắc, sinh năm 1985 tại Hà Nội. Tốt nghiệp Đại học Sư phạm Hà Nội với bằng cử nhân Toán học, thầy có hơn 10 năm kinh nghiệm giảng dạy cấp 2 và ôn thi vào 10. Năm 2024, thầy sáng lập website daygioi.com – nền tảng giáo dục trực tuyến miễn phí, cung cấp bài giảng video, bài tập tương tác và tài liệu ôn tập cho hàng ngàn học sinh Việt Nam. Với phong cách dạy gần gũi, sáng tạo, thầy luôn khơi dậy niềm đam mê Toán học qua ví dụ đời thường. Được phụ huynh và học sinh yêu mến, thầy là nguồn cảm hứng cho thế hệ giáo viên trẻ.

       

Xem nhiều bài của tác giả : Phan Quang