Đề học sinh giỏi cấp tỉnh Toán THPT năm 2022 2023 sở GD ĐT Khánh Hòa

  • Đề HSG Toán 12

Đề học sinh giỏi Toán THPT Khánh Hòa năm 2022-2023

Sytu hân hạnh giới thiệu đến quý thầy cô và các em học sinh lớp 12 Đề thi học sinh giỏi cấp tỉnh môn Toán THPT năm học 2022-2023 của Sở Giáo dục và Đào tạo tỉnh Khánh Hòa. Kỳ thi sẽ diễn ra vào ngày 07 tháng 12 năm 2022.

Trích đề thi học sinh giỏi Toán THPT Khánh Hòa năm 2022-2023:

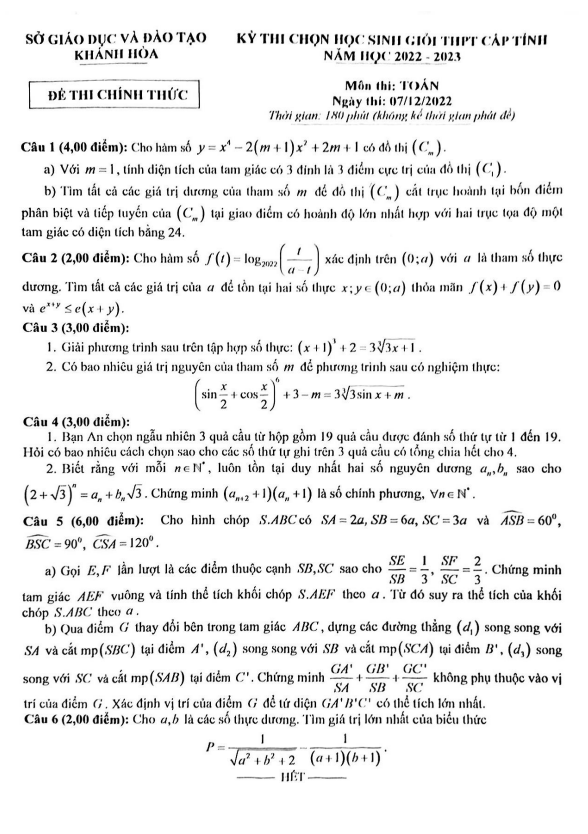
Câu 1: Cho hàm số (y = x^4 – 2(m + 1)x^2 + 2m + 1) có đồ thị (C).

a) Với (m = 1), tính diện tích của tam giác có 3 đỉnh là 3 điểm cực trị của đồ thị (C).

b) Tìm tất cả các giá trị dương của tham số (m) để đồ thị (Cm) cắt trục hoành tại bốn điểm phân biệt và tiếp tuyến của (Cm) tại giao điểm có hoành độ lớn nhất hợp với hai trục tọa độ một tam giác có diện tích bằng 24.

Câu 2: Bạn An chọn ngẫu nhiên 3 quả cầu từ hộp gồm 19 quả cầu được đánh số từ 1 đến 19. Hỏi có bao nhiêu cách chọn sao cho các số thứ tự ghi trên 3 quả cầu có tổng chia hết cho 4.

Câu 3: Biết rằng với mỗi (n) thuộc (N^*), luôn tồn tại duy nhất hai số nguyên dương (a_n, b_n) sao cho (n = a_n^2 – b_n^2). Chứng minh rằng (n) là số chính phương.

Chúc quý thầy cô và các em học sinh có sự chuẩn bị tốt nhất để tham gia kỳ thi học sinh giỏi Toán cấp tỉnh năm 2022-2023 và đạt kết quả cao nhất. Hy vọng đề thi sẽ là cơ hội để các em thể hiện kiến thức và tài năng của mình.

Đánh giá bài viết cho thầy/cô vui 

0 / 5 0

Your page rank:

Avatar of Phan Quang
       

Về tác giả : Phan Quang

Giáo viên Toán học xuất sắc, sinh năm 1985 tại Hà Nội. Tốt nghiệp Đại học Sư phạm Hà Nội với bằng cử nhân Toán học, thầy có hơn 10 năm kinh nghiệm giảng dạy cấp 2 và ôn thi vào 10. Năm 2024, thầy sáng lập website daygioi.com – nền tảng giáo dục trực tuyến miễn phí, cung cấp bài giảng video, bài tập tương tác và tài liệu ôn tập cho hàng ngàn học sinh Việt Nam. Với phong cách dạy gần gũi, sáng tạo, thầy luôn khơi dậy niềm đam mê Toán học qua ví dụ đời thường. Được phụ huynh và học sinh yêu mến, thầy là nguồn cảm hứng cho thế hệ giáo viên trẻ.

       

Xem nhiều bài của tác giả : Phan Quang