Đề học sinh giỏi lớp 9 môn Toán năm 2022 2023 phòng GD ĐT Thanh Trì Hà Nội

  • Đề HSG Toán 9

Đề thi học sinh giỏi Toán lớp 9 năm học 2022 – 2023 phòng GD&ĐT Thanh Trì Hà Nội

Chào mừng quý thầy, cô giáo và các em học sinh lớp 9, dưới đây là đề thi chọn học sinh giỏi môn Toán lớp 9 năm học 2022 – 2023 của phòng Giáo dục và Đào tạo huyện Thanh Trì, thành phố Hà Nội. Kỳ thi sẽ diễn ra vào sáng thứ Ba ngày 15 tháng 11 năm 2022.

Trích dẫn một số câu hỏi từ Đề học sinh giỏi Toán lớp 9 năm 2022 – 2023 phòng GD&ĐT Thanh Trì – Hà Nội:

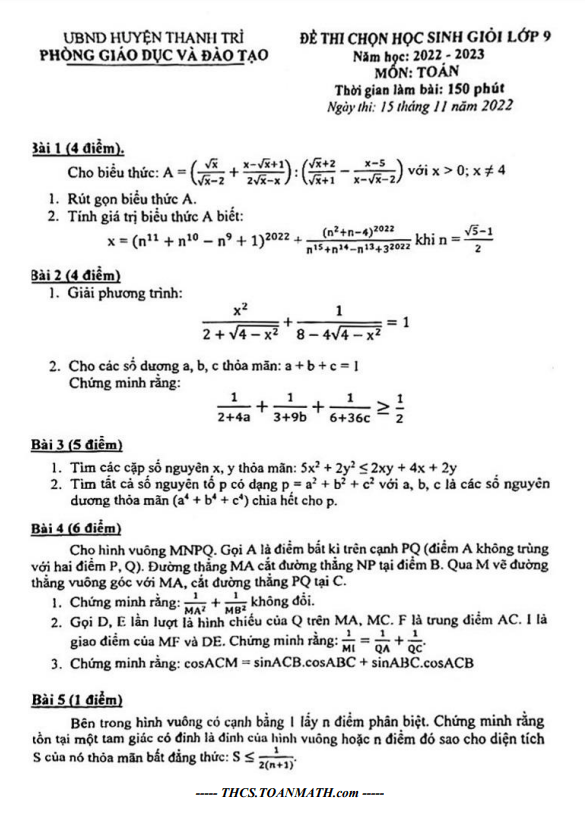
1. Tìm tất cả số nguyên tố p có dạng p = a^2 + b^2 + c^2 với a, b, c là các số nguyên dương thỏa mãn (a^4 + b^4 + c^4) chia hết cho p.

2. Cho hình vuông MNPQ. Gọi A là điểm bất kì trên cạnh PQ (điểm A không trùng với hai điểm P, Q). Đường thẳng MA cắt đường thẳng NP tại điểm B. Qua M vẽ đường thẳng vuông góc với MA, cắt đường thẳng PQ tại C. Câu hỏi đưa ra các yêu cầu về tỉ lệ các đoạn thẳng trong hình vuông.

3. Bên trong hình vuông có cạnh bằng 1 lấy n điểm phân biệt. Chứng minh rằng tồn tại một tam giác có đỉnh là đỉnh của hình vuông hoặc n điểm đó sao cho diện tích tam giác đó thỏa mãn một bất đẳng thức cụ thể.

Hy vọng rằng đề thi này sẽ giúp các em học sinh rèn luyện và phát triển kỹ năng Toán của mình. Chúc quý thầy, cô giáo và các em học sinh thành công trong kỳ thi!

Đánh giá bài viết cho thầy/cô vui 

0 / 5 0

Your page rank:

Avatar of Phan Quang
       

Về tác giả : Phan Quang

Giáo viên Toán học xuất sắc, sinh năm 1985 tại Hà Nội. Tốt nghiệp Đại học Sư phạm Hà Nội với bằng cử nhân Toán học, thầy có hơn 10 năm kinh nghiệm giảng dạy cấp 2 và ôn thi vào 10. Năm 2024, thầy sáng lập website daygioi.com – nền tảng giáo dục trực tuyến miễn phí, cung cấp bài giảng video, bài tập tương tác và tài liệu ôn tập cho hàng ngàn học sinh Việt Nam. Với phong cách dạy gần gũi, sáng tạo, thầy luôn khơi dậy niềm đam mê Toán học qua ví dụ đời thường. Được phụ huynh và học sinh yêu mến, thầy là nguồn cảm hứng cho thế hệ giáo viên trẻ.

       

Xem nhiều bài của tác giả : Phan Quang