Đề học sinh giỏi huyện lớp 9 môn Toán năm 2022 2023 phòng GD ĐT Củ Chi TP HCM

  • Đề HSG Toán 9

Đề học sinh giỏi môn Toán lớp 9 năm 2022 – 2023

Xin chào quý thầy cô và các em học sinh lớp 9! Hôm nay chúng ta sẽ cùng tìm hiểu về đề thi chọn học sinh giỏi cấp huyện môn Toán lớp 9 năm học 2022 – 2023 do phòng Giáo dục và Đào tạo huyện Củ Chi, thành phố Hồ Chí Minh tổ chức. Kỳ thi sẽ diễn ra vào thứ Sáu, ngày 12 tháng 11 năm 2022.

Đề thi bao gồm các bài toán thú vị như sau:

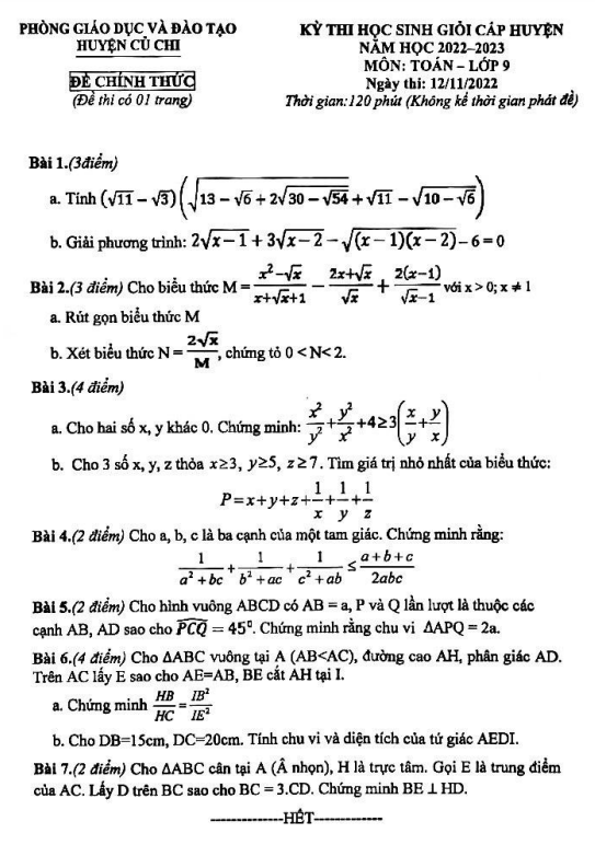
1. Cho hình vuông ABCD có AB = a, P và Q lần lượt là thuộc các cạnh AB, AD sao cho PCQ = 45°. Chứng minh rằng chu vi APQ = 2a.

2. Cho ABC vuông tại A (AB

3. Cho ABC cân tại A (A nhọn), H là trực tâm. Gọi E là trung điểm của AC. Lấy D trên BC sao cho BC = 3.CD. Chứng minh rằng BE vuông góc HD.

Hy vọng đề thi sẽ giúp các em rèn luyện kỹ năng giải bài toán, nâng cao kiến thức và chuẩn bị tốt cho cuộc thi sắc sảo sắc màu sắc đỉnh cao sắc thuộc huyện Củ Chi này. Chúc các em thành công!

Đánh giá bài viết cho thầy/cô vui 

0 / 5 0

Your page rank:

Avatar of Phan Quang
       

Về tác giả : Phan Quang

Giáo viên Toán học xuất sắc, sinh năm 1985 tại Hà Nội. Tốt nghiệp Đại học Sư phạm Hà Nội với bằng cử nhân Toán học, thầy có hơn 10 năm kinh nghiệm giảng dạy cấp 2 và ôn thi vào 10. Năm 2024, thầy sáng lập website daygioi.com – nền tảng giáo dục trực tuyến miễn phí, cung cấp bài giảng video, bài tập tương tác và tài liệu ôn tập cho hàng ngàn học sinh Việt Nam. Với phong cách dạy gần gũi, sáng tạo, thầy luôn khơi dậy niềm đam mê Toán học qua ví dụ đời thường. Được phụ huynh và học sinh yêu mến, thầy là nguồn cảm hứng cho thế hệ giáo viên trẻ.

       

Xem nhiều bài của tác giả : Phan Quang