Vận dụng định lí Viète giải các dạng toán liên quan đến phương trình bậc hai

  • Tài liệu Toán 9

Tài liệu hướng dẫn vận dụng định lí Viète giải các dạng toán liên quan đến phương trình bậc hai

Tài liệu này gồm tổng cộng 18 trang, được biên soạn bởi thầy giáo Phạm Văn Tuyên, nhằm hướng dẫn học sinh cách vận dụng định lí Viète vào việc giải các dạng toán thường gặp có liên quan đến phương trình bậc hai.

I. KIẾN THỨC CẦN NHỚ

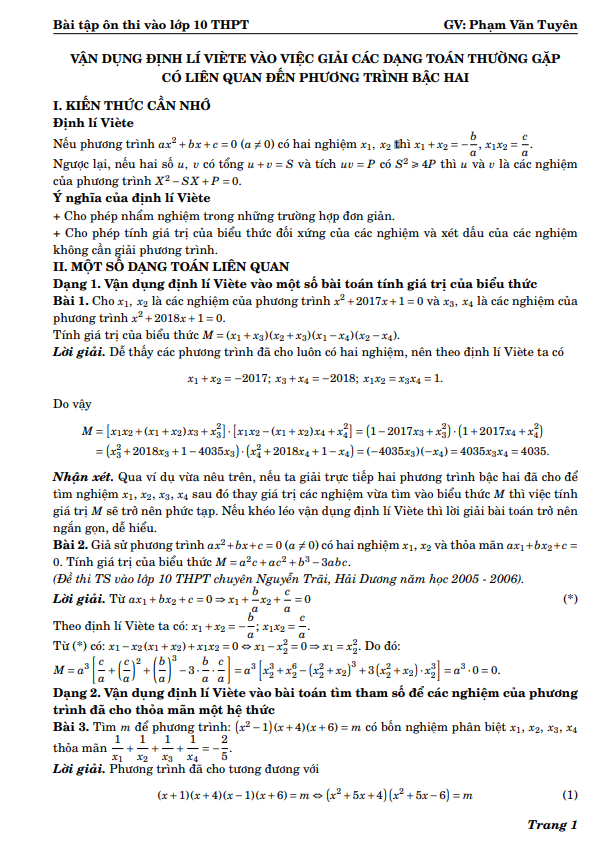
1. Định lí Viète: Nếu phương trình ax2 + bx + c = 0 (a khác 0) có hai nghiệm x1, x2 thì x1 + x2 = −b/a, x1x2 = c/a. Ngược lại, nếu hai số u, v có tổng u + v = S và tích uv = P có S2 >= 4P thì u và v là các nghiệm của phương trình X2 − SX + P = 0.

2. Ý nghĩa của định lí Viète:

  • + Cho phép nhẩm nghiệm trong những trường hợp đơn giản.
  • + Cho phép tính giá trị của biểu thức đối xứng của các nghiệm và xét dấu của các nghiệm mà không cần giải phương trình.

II. MỘT SỐ DẠNG TOÁN LIÊN QUAN

Các dạng toán liên quan đến vận dụng định lí Viète bao gồm:

  1. Dạng 1: Vận dụng định lí Viète vào bài toán tính giá trị của biểu thức.
  2. Dạng 2: Vận dụng định lí Viète vào bài toán tìm tham số để các nghiệm của phương trình thỏa mãn một hệ thức.
  3. Dạng 3: Vận dụng định lí Viète vào bài toán chứng minh bất đẳng thức, tìm giá trị lớn nhất và nhỏ nhất.
  4. Dạng 4: Vận dụng định lí Viète vào các bài toán số học.
  5. Dạng 5: Vận dụng định lí Viète vào bài toán liên quan đến hàm số y = ax2 (a khác 0).
  6. Dạng 6: Vận dụng định lí Viète vào bài toán giải hệ phương trình hai ẩn.

III. BÀI TẬP TỰ LUYỆN

Tài liệu cũng cung cấp một số bài tập tự luyện để học sinh có thể ôn tập và củng cố kiến thức về định lí Viète trong việc giải các dạng toán liên quan đến phương trình bậc hai.

Đánh giá bài viết cho thầy/cô vui 

0 / 5 0

Your page rank:

Avatar of Phan Quang
       

Về tác giả : Phan Quang

Giáo viên Toán học xuất sắc, sinh năm 1985 tại Hà Nội. Tốt nghiệp Đại học Sư phạm Hà Nội với bằng cử nhân Toán học, thầy có hơn 10 năm kinh nghiệm giảng dạy cấp 2 và ôn thi vào 10. Năm 2024, thầy sáng lập website daygioi.com – nền tảng giáo dục trực tuyến miễn phí, cung cấp bài giảng video, bài tập tương tác và tài liệu ôn tập cho hàng ngàn học sinh Việt Nam. Với phong cách dạy gần gũi, sáng tạo, thầy luôn khơi dậy niềm đam mê Toán học qua ví dụ đời thường. Được phụ huynh và học sinh yêu mến, thầy là nguồn cảm hứng cho thế hệ giáo viên trẻ.

       

Xem nhiều bài của tác giả : Phan Quang