Lời giải bài toán bất đẳng thức, cực trị trong đề tuyển sinh môn Toán

  • Tài liệu thi vào lớp 10

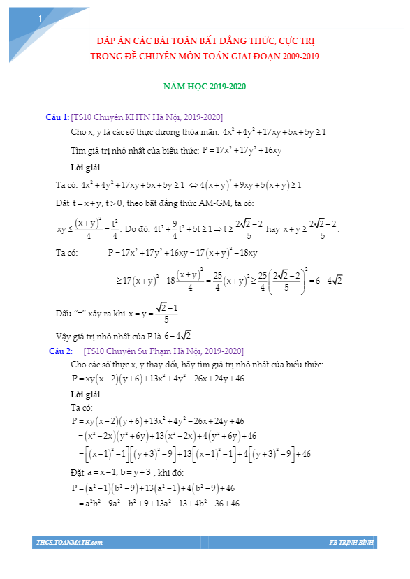
Giải bài toán bất đẳng thức, cực trị trong đề tuyển sinh môn Toán

Bài toán bất đẳng thức và cực trị luôn là những thách thức lớn đối với học sinh khi tham gia vào kì thi tuyển sinh vào lớp 10 môn Toán. Đây là phần bài thi mang tính quyết định, giúp trường chọn lọc những học sinh giỏi và xuất sắc nhất để vào học tại các lớp chuyên Toán tại các trường THPT chuyên.

Để giúp các em học sinh lớp 9 chuẩn bị cho kỳ thi tuyển sinh, Sytu đã tổng hợp tài liệu lời giải cho bài toán bất đẳng thức, cực trị trong đề thi tuyển sinh lớp 10 môn Toán. Tài liệu này được biên soạn bởi tác giả Trịnh Bình, chuyên gia giàu kinh nghiệm trong lĩnh vực giáo dục Toán học.

Bên dưới là một số ví dụ về nội dung và cấu trúc của tài liệu lời giải:

Ví dụ 1: Cho các số dương a, b, c thỏa mãn abc = a + b + c + 2. Hãy tìm giá trị lớn nhất của biểu thức P = 1/√(a^2 + b^2) + 1/√(b^2 + c^2) + 1/√(c^2 + a^2).

Ví dụ 2: Giả sử x, y, z là các số thực trong đoạn [0;2] và x + y + z = 3. Hãy chứng minh rằng x^2 + y^2 + z^2

Ví dụ 3: Cho x, y, z là các số thực dương thỏa mãn xy + yz + 4zx = 32. Tìm giá trị nhỏ nhất của biểu thức P = x^2 + 16y^2 + 16z^2.

Với tài liệu lời giải bài toán bất đẳng thức, cực trị trong đề thi tuyển sinh môn Toán, các em học sinh sẽ được trang bị kiến thức và kỹ năng cần thiết để tự tin giải quyết các dạng bài tương tự trong kỳ thi sắp tới.

Đánh giá bài viết cho thầy/cô vui 

0 / 5 0

Your page rank:

Avatar of Phan Quang
       

Về tác giả : Phan Quang

Giáo viên Toán học xuất sắc, sinh năm 1985 tại Hà Nội. Tốt nghiệp Đại học Sư phạm Hà Nội với bằng cử nhân Toán học, thầy có hơn 10 năm kinh nghiệm giảng dạy cấp 2 và ôn thi vào 10. Năm 2024, thầy sáng lập website daygioi.com – nền tảng giáo dục trực tuyến miễn phí, cung cấp bài giảng video, bài tập tương tác và tài liệu ôn tập cho hàng ngàn học sinh Việt Nam. Với phong cách dạy gần gũi, sáng tạo, thầy luôn khơi dậy niềm đam mê Toán học qua ví dụ đời thường. Được phụ huynh và học sinh yêu mến, thầy là nguồn cảm hứng cho thế hệ giáo viên trẻ.

       

Xem nhiều bài của tác giả : Phan Quang