
Em ứng xử như thế nào khi gặp tình huống sau?


Em quan sát hành động và lời nói của bạn nhỏ để đưa ra cách ứng xử phù hợp.

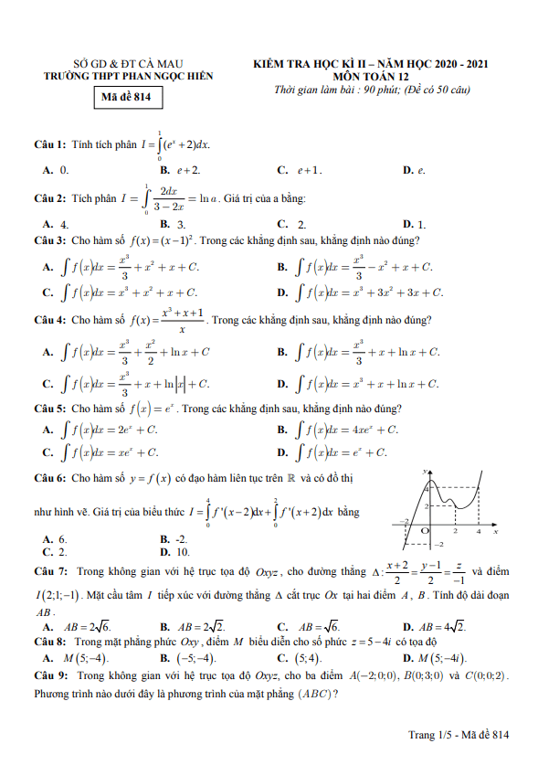
Em gặp tình huống trên, em sẽ không đồng ý làm theo bạn và nhắc nhở bạn không được trèo vào. Vì khi đi tham quan chúng ta cần thể hiện sự tôn trọng di tích, tuân thủ các quy định tại di tích và có ý thức trách nhiệm giữ gìn và bảo vệ di tích. Nếu chúng ta trèo vào có thể làm tổn hại đến di tích.