Đề vào môn Toán (chuyên) năm 2022 2023 trường chuyên Hạ Long Quảng Ninh

  • Đề thi vào lớp 10

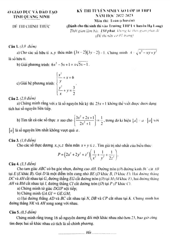
Đề thi tuyển sinh vào lớp 10 THPT môn Toán (chuyên) năm 2022-2023 trường chuyên Hạ Long, Quảng Ninh

Chào đón quý thầy cô giáo và các em học sinh lớp 9! Đây là đề thi tuyển sinh vào lớp 10 THPT môn Toán (chuyên) năm học 2022-2023 của trường THPT chuyên Hạ Long, tỉnh Quảng Ninh. Các bài toán trong đề thi đều được chọn lọc kỹ lưỡng để đảm bảo tính chất chuyên sâu và đòi hỏi của môn Toán chuyên.

Trích dẫn đề vào lớp 10 môn Toán (chuyên) năm 2022-2023 trường chuyên Hạ Long – Quảng Ninh:

1. Chứng minh rằng với x là số nguyên bất kỳ thì 25x + 1 không thể viết được dưới dạng tích hai số nguyên liên tiếp.

2. Cho tam giác ABC có ba góc nhọn, đường cao AH. Đường tròn (O) đường kính BC cắt AB tại E (E khác B). Gọi D là một điểm trên cung nhỏ BE (D khác B và D khác E). Hai đường thẳng DC và AH cắt nhau tại G, đường thẳng EG cắt đường tròn (O) tại M (M khác E), hai đường thẳng AH và BM cắt nhau tại I, đường thẳng CI cắt đường tròn (O) tại P (P khác).

a) Chứng minh tứ giác DGIP nội tiếp;

b) Chứng minh GA.GI = GE.GM;

c) Hai đường thẳng AD và BC cắt nhau tại N, DB và CP cắt nhau tại K. Chứng minh hai đường thẳng NK và AH song song với nhau.

3. Chứng minh rằng trong 16 số nguyên dương đôi một khác nhau nhỏ hơn 23, bao giờ cũng tìm được hai số khác nhau có tích là số chính phương.

Hy vọng đề thi này sẽ giúp các em học sinh thử sức và phát huy tốt năng lực Toán học của mình. Chúc quý thầy cô và các em học sinh có kỳ thi thành công!

Đánh giá bài viết cho thầy/cô vui 

0 / 5 0

Your page rank:

Avatar of Phan Quang
       

Về tác giả : Phan Quang

Giáo viên Toán học xuất sắc, sinh năm 1985 tại Hà Nội. Tốt nghiệp Đại học Sư phạm Hà Nội với bằng cử nhân Toán học, thầy có hơn 10 năm kinh nghiệm giảng dạy cấp 2 và ôn thi vào 10. Năm 2024, thầy sáng lập website daygioi.com – nền tảng giáo dục trực tuyến miễn phí, cung cấp bài giảng video, bài tập tương tác và tài liệu ôn tập cho hàng ngàn học sinh Việt Nam. Với phong cách dạy gần gũi, sáng tạo, thầy luôn khơi dậy niềm đam mê Toán học qua ví dụ đời thường. Được phụ huynh và học sinh yêu mến, thầy là nguồn cảm hứng cho thế hệ giáo viên trẻ.

       

Xem nhiều bài của tác giả : Phan Quang