Đề tuyển sinh vào THPT chuyên 2018 2019 sở GD và ĐT Hưng Yên

  • Đề thi vào lớp 10

Đề tuyển sinh vào THPT chuyên 2018 – 2019 tại Hưng Yên

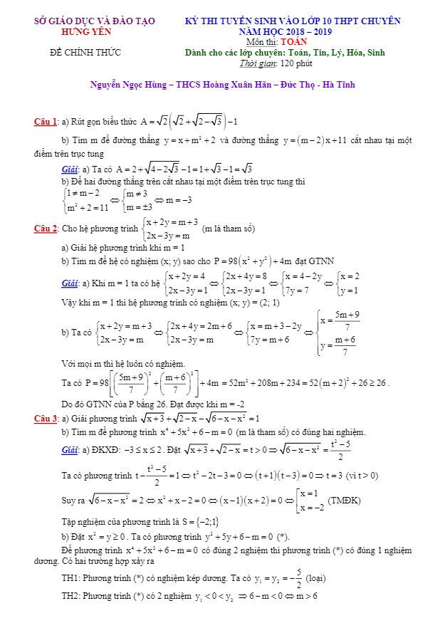
Đề tuyển sinh vào lớp 10 THPT chuyên 2018 – 2019 sở GD và ĐT Hưng Yên là bước quan trọng để lựa chọn những học sinh có kiến thức và khả năng học tập tốt vào các trường THPT chuyên trong tỉnh. Đề thi này bao gồm 6 bài toán tự luận, thời gian làm bài là 120 phút, và đề thi đi kèm với lời giải chi tiết dành cho các thí sinh.

Trích đề tuyển sinh vào lớp 10 THPT chuyên 2018 – 2019 sở Hưng Yên:

  1. Quãng đường AB dài 120 km. Một ô tô di chuyển từ A đến B với một vận tốc cố định. Khi quay về từ B đến A, ô tô di chuyển với vận tốc thấp hơn vận tốc đi từ A đến B là 10 km/h. Hỏi vận tốc của ô tô khi quay về, biết rằng thời gian đi nhiều hơn thời gian về là 24 phút.
  2. Tìm giá trị của m để đường thẳng y = x + m^2 + 2 và đường thẳng y = (m – 2)x + 11 cắt nhau tại một điểm trên trục tung.
  3. Tìm giá trị của m để phương trình x^4 + 5x^2 + 6 – m = 0 (với m là tham số) có đúng hai nghiệm.

Đề tuyển sinh này cần sự tỉ mỉ, logic và kiến thức toán học của các thí sinh để giải quyết các bài toán phức tạp, từ đó đánh giá được năng lực và kỹ năng học tập của họ.

Đánh giá bài viết cho thầy/cô vui 

0 / 5 0

Your page rank:

Avatar of Phan Quang
       

Về tác giả : Phan Quang

Giáo viên Toán học xuất sắc, sinh năm 1985 tại Hà Nội. Tốt nghiệp Đại học Sư phạm Hà Nội với bằng cử nhân Toán học, thầy có hơn 10 năm kinh nghiệm giảng dạy cấp 2 và ôn thi vào 10. Năm 2024, thầy sáng lập website daygioi.com – nền tảng giáo dục trực tuyến miễn phí, cung cấp bài giảng video, bài tập tương tác và tài liệu ôn tập cho hàng ngàn học sinh Việt Nam. Với phong cách dạy gần gũi, sáng tạo, thầy luôn khơi dậy niềm đam mê Toán học qua ví dụ đời thường. Được phụ huynh và học sinh yêu mến, thầy là nguồn cảm hứng cho thế hệ giáo viên trẻ.

       

Xem nhiều bài của tác giả : Phan Quang