-
Đề thi vào lớp 10
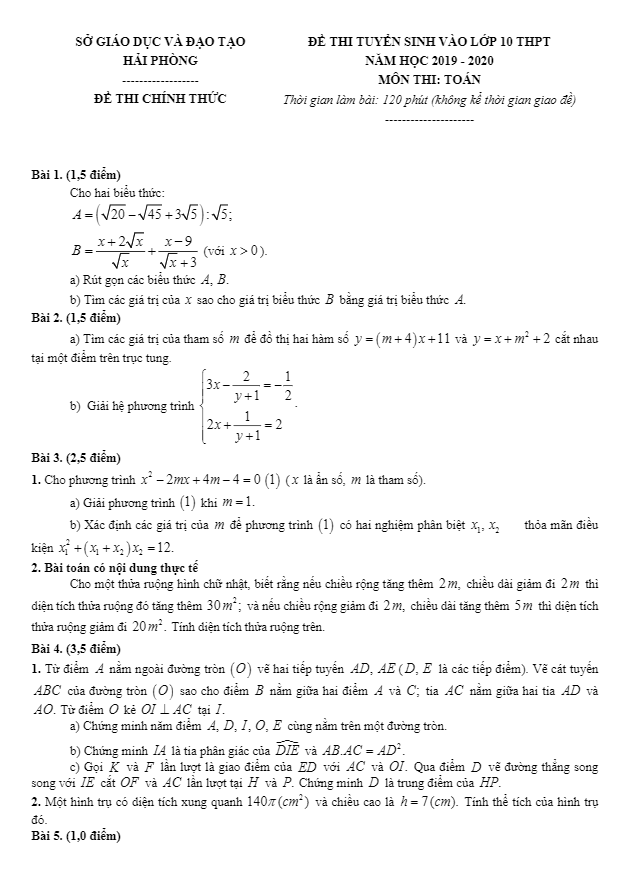
Đề thi tuyển sinh THPT môn Toán sở GD&ĐT Hải Phòng
Kỳ thi tuyển sinh vào lớp 10 khối Trung học Phổ thông do sở Giáo dục và Đào tạo Hải Phòng tổ chức là một trong những kỳ thi quan trọng nhất đối với học sinh. Đây là cơ hội để học sinh thể hiện kiến thức và năng lực của mình, từ đó tạo ra cơ hội học tập và phát triển trong tương lai.
Môn Thi Toán là một trong những môn thi quan trọng và bắt buộc trong kỳ thi này. Để giúp các em học sinh chuẩn bị tốt cho kỳ thi, chúng tôi xin giới thiệu nội dung đề thi và lời giải chi tiết đề thi tuyển sinh vào lớp 10 hệ THPT năm học 2019-2020 môn Toán sở GD&ĐT Hải Phòng. Đây là nội dung cần thiết để quý thầy cô, phụ huynh và các em học sinh tham khảo và ôn tập.
Bài thi Toán trong đề tuyển sinh gồm nhiều dạng bài khác nhau, từ bài tính diện tích hình chữ nhật đến bài toán về hàm số. Với mỗi câu hỏi, học sinh cần phải áp dụng kiến thức và kỹ năng tính toán một cách chính xác và logic để có thể giải quyết.
Ví dụ, một trong những bài toán trong đề thi đề cập đến việc tính diện tích thửa ruộng hình chữ nhật dựa trên điều kiện cho trước. Học sinh cần phải giải phương trình và tìm ra kết quả cuối cùng bằng cách áp dụng kiến thức hình học và đại số.
Ngoài ra, đề thi cũng đặt ra bài toán về hình trụ để học sinh áp dụng kiến thức về hình học không gian và tính thể tích của hình trụ theo diện tích xung quanh cho trước.
Bằng việc ôn tập và làm bài tập từ đề thi tuyển sinh như vậy, học sinh có thể rèn luyện kiến thức và kỹ năng để tự tin vượt qua kỳ thi và tiến xa hơn trong hành trình học tập của mình.