Đề tuyển sinh THPT năm 2019 2020 môn Toán sở GD ĐT Đồng Nai

  • Đề thi vào lớp 10

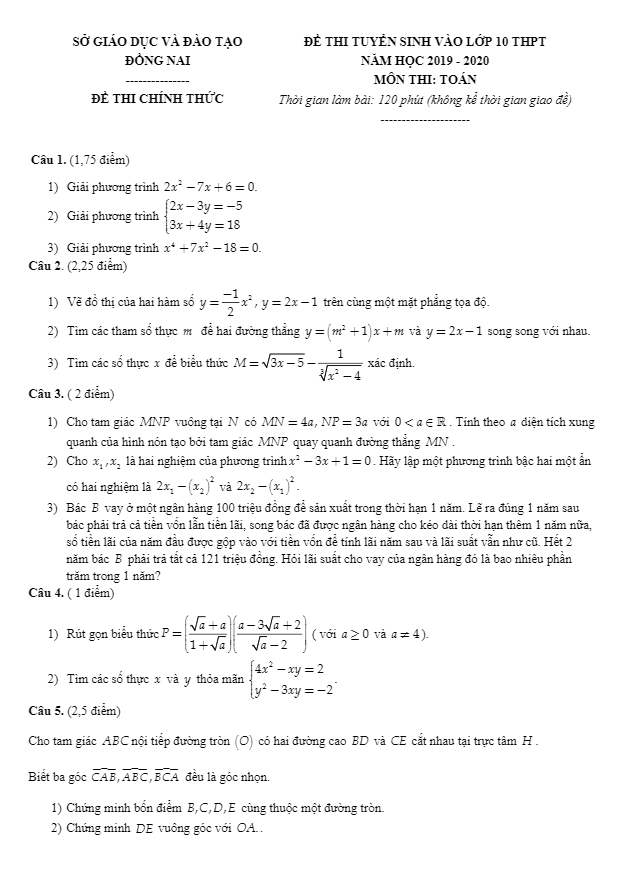
Đề thi tuyển sinh vào lớp 10 THPT môn Toán sở GD&ĐT Đồng Nai

Kỳ thi tuyển sinh vào lớp 10 trung học phổ thông là bước quan trọng đánh dấu sự chuyển mình trong hành trình học tập của các học sinh tại tỉnh Đồng Nai. Môn thi Toán không chỉ là một phần bắt buộc mà còn là một yếu tố quyết định việc xét tuyển vào các trường phổ thông trên địa bàn. Để giúp thầy cô giáo, phụ huynh và học sinh chuẩn bị tốt cho kỳ thi, chúng tôi xin giới thiệu nội dung và lời giải chi tiết đề thi môn Toán của sở GD&ĐT Đồng Nai năm học 2019 – 2020.

Đề thi bao gồm nhiều dạng bài tập, từ những bài toán cơ bản đến những bài toán phức tạp, thách thức. Ví dụ, trong một bài toán về vay mượn tiền, học sinh được yêu cầu tính lãi suất của ngân hàng dựa trên thông tin cụ thể về số tiền, thời hạn và số tiền phải trả sau hai năm. Điều này giúp học sinh rèn luyện kỹ năng giải quyết vấn đề và áp dụng kiến thức Toán vào thực tế.

Ngoài ra, đề thi còn đề cập đến các khái niệm và công thức trong hình học, như tính diện tích xung quanh hình nón hay chứng minh tính chất của tam giác nội tiếp đường tròn. Những bài toán này yêu cầu học sinh có kiến thức vững chắc và khả năng suy luận logic để giải quyết.

Qua việc giải các bài tập trong đề thi tuyển sinh Toán, học sinh không chỉ nắm vững kiến thức mà còn phát triển kỹ năng tư duy logic, khả năng giải quyết vấn đề. Đây không chỉ là cơ hội để học sinh thể hiện kiến thức mà còn là bước chuẩn bị quan trọng cho hành trình học tập phía trước.

Đánh giá bài viết cho thầy/cô vui 

0 / 5 0

Your page rank:

Avatar of Phan Quang
       

Về tác giả : Phan Quang

Giáo viên Toán học xuất sắc, sinh năm 1985 tại Hà Nội. Tốt nghiệp Đại học Sư phạm Hà Nội với bằng cử nhân Toán học, thầy có hơn 10 năm kinh nghiệm giảng dạy cấp 2 và ôn thi vào 10. Năm 2024, thầy sáng lập website daygioi.com – nền tảng giáo dục trực tuyến miễn phí, cung cấp bài giảng video, bài tập tương tác và tài liệu ôn tập cho hàng ngàn học sinh Việt Nam. Với phong cách dạy gần gũi, sáng tạo, thầy luôn khơi dậy niềm đam mê Toán học qua ví dụ đời thường. Được phụ huynh và học sinh yêu mến, thầy là nguồn cảm hứng cho thế hệ giáo viên trẻ.

       

Xem nhiều bài của tác giả : Phan Quang