Đề tuyển sinh THPT môn Toán năm 2022 2023 sở GD ĐT Hải Dương

  • Đề thi vào lớp 10

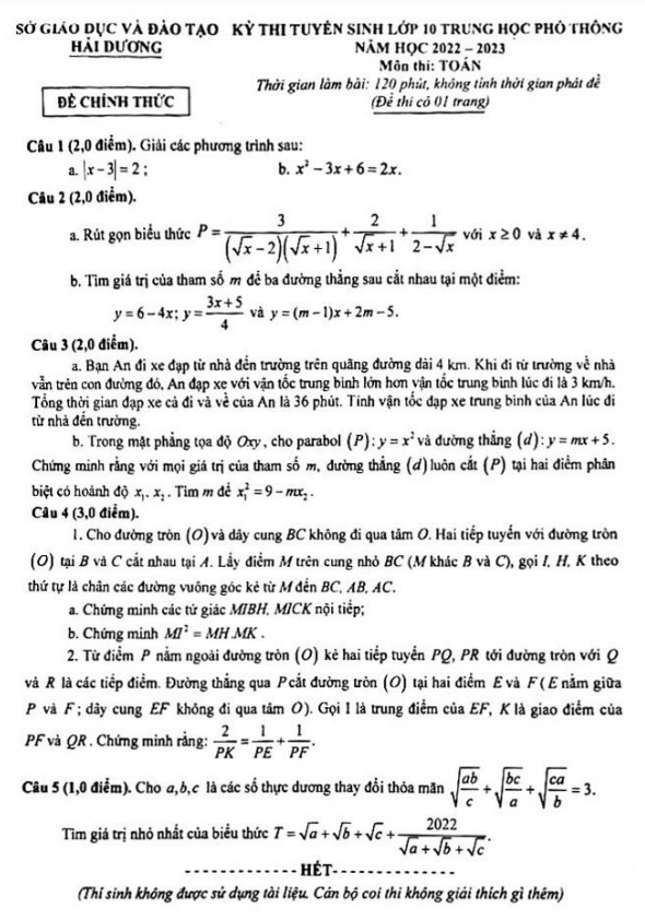
Đề thi tuyển sinh THPT môn Toán năm 2022 – 2023 sở GD ĐT Hải Dương

Xin chào đến với Sytu, nơi chúng tôi muốn giới thiệu đến quý thầy, cô giáo và các em học sinh lớp 9 đề thi chính thức kỳ thi tuyển sinh vào lớp 10 THPT môn Toán năm học 2022 – 2023 sở Giáo dục và Đào tạo tỉnh Hải Dương. Kỳ thi dự kiến diễn ra vào thứ Ba ngày 07 tháng 06 năm 2022.

Chúng tôi hy vọng rằng đề thi sẽ giúp các em học sinh chuẩn bị tốt nhất cho kỳ thi sắp tới, cung cấp cho họ cơ hội để thể hiện kiến thức và kỹ năng của mình trong môn Toán. Đề thi này được thiết kế để đánh giá sâu hơn và không chỉ kiểm tra kiến thức cơ bản mà còn khuyến khích sự sáng tạo, tư duy logic và khả năng giải quyet vấn đề của học sinh.

Hãy cùng chúng tôi chia sẻ niềm đam mê và hứng thú với Toán, nhằm giúp các em học sinh phát triển toàn diện và tự tin trước thách thức của kỳ thi tuyển sinh sắp tới. Chúng tôi hy vọng rằng đề thi này sẽ là bước đệm quan trọng cho sự thành công của các em trong hành trình học tập và phát triển cá nhân. Chúc các em ôn tập hiệu quả và đạt kết quả tốt trong kỳ thi sắp tới!

Đánh giá bài viết cho thầy/cô vui 

0 / 5 0

Your page rank:

Avatar of Phan Quang
       

Về tác giả : Phan Quang

Giáo viên Toán học xuất sắc, sinh năm 1985 tại Hà Nội. Tốt nghiệp Đại học Sư phạm Hà Nội với bằng cử nhân Toán học, thầy có hơn 10 năm kinh nghiệm giảng dạy cấp 2 và ôn thi vào 10. Năm 2024, thầy sáng lập website daygioi.com – nền tảng giáo dục trực tuyến miễn phí, cung cấp bài giảng video, bài tập tương tác và tài liệu ôn tập cho hàng ngàn học sinh Việt Nam. Với phong cách dạy gần gũi, sáng tạo, thầy luôn khơi dậy niềm đam mê Toán học qua ví dụ đời thường. Được phụ huynh và học sinh yêu mến, thầy là nguồn cảm hứng cho thế hệ giáo viên trẻ.

       

Xem nhiều bài của tác giả : Phan Quang