Đề tuyển sinh THPT môn Toán năm 2021 2022 sở GD ĐT Hải Dương

  • Đề thi vào lớp 10

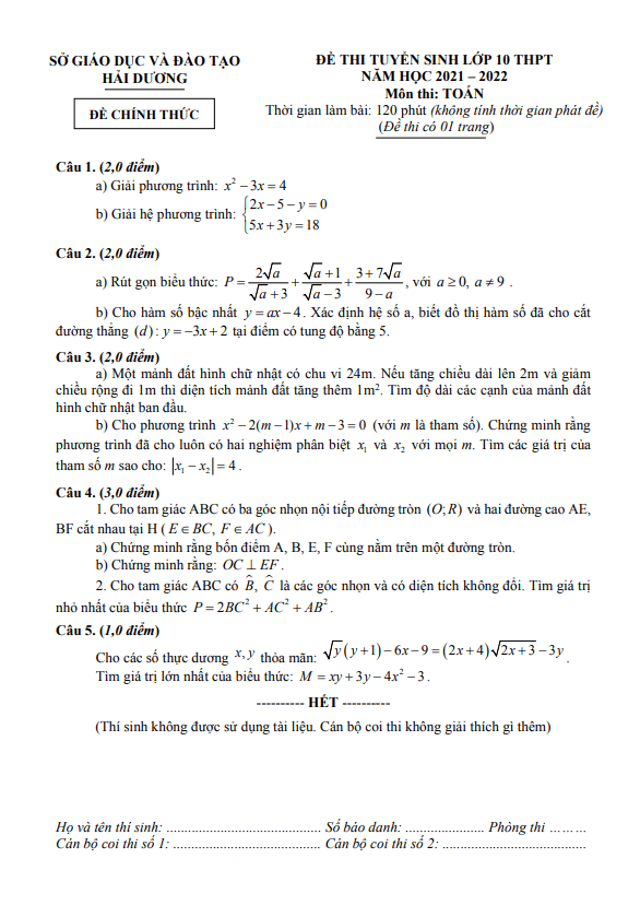
Đề thi tuyển sinh lớp 10 THPT môn Toán sở GD&ĐT Hải Dương năm 2021 – 2022

Ngày 15 tháng 06 năm 2021, sở Giáo dục và Đào tạo tỉnh Hải Dương tổ chức kỳ thi tuyển sinh vào lớp 10 THPT môn Toán năm học 2021 – 2022. Đề tuyển sinh gồm 01 trang với 05 bài toán dạng tự luận, thời gian làm bài là 120 phút (không tính thời gian phát đề). Đề thi có đáp án, lời giải chi tiết và hướng dẫn chấm điểm. Dưới đây là một số câu hỏi trong đề thi:

1. Cho một mảnh đất hình chữ nhật có chu vi 24m. Nếu tăng chiều dài lên 2m và giảm chiều rộng đi 1m thì diện tích mảnh đất tăng thêm 1m2. Hãy tìm độ dài các cạnh của mảnh đất ban đầu.

2. Cho phương trình 2x3 – mx2 + 1 = 3x. Chứng minh rằng phương trình đã cho luôn có hai nghiệm phân biệt 1 và 2 với mọi m. Tìm các giá trị của tham số m sao cho x2 – x + 4.

3. Cho tam giác ABC có ba góc nhọn nội tiếp đường tròn O R và hai đường cao AE, BF cắt nhau tại H (E BC F AC). a) Chứng minh rằng bốn điểm A, B, E, F cùng nằm trên một đường tròn. b) Chứng minh rằng OC // EF.

4. Cho tam giác ABC có B C là các góc nhọn và có diện tích không đổi. Tìm giá trị nhỏ nhất của biểu thức 2P = BC/AC + BC/AB + 2AB/BC.

Đánh giá bài viết cho thầy/cô vui 

0 / 5 0

Your page rank:

Avatar of Phan Quang
       

Về tác giả : Phan Quang

Giáo viên Toán học xuất sắc, sinh năm 1985 tại Hà Nội. Tốt nghiệp Đại học Sư phạm Hà Nội với bằng cử nhân Toán học, thầy có hơn 10 năm kinh nghiệm giảng dạy cấp 2 và ôn thi vào 10. Năm 2024, thầy sáng lập website daygioi.com – nền tảng giáo dục trực tuyến miễn phí, cung cấp bài giảng video, bài tập tương tác và tài liệu ôn tập cho hàng ngàn học sinh Việt Nam. Với phong cách dạy gần gũi, sáng tạo, thầy luôn khơi dậy niềm đam mê Toán học qua ví dụ đời thường. Được phụ huynh và học sinh yêu mến, thầy là nguồn cảm hứng cho thế hệ giáo viên trẻ.

       

Xem nhiều bài của tác giả : Phan Quang