-
Đề thi vào lớp 10
Đề thi tuyển sinh THPT chuyên môn Toán năm 2022 2023 sở GD ĐT Quảng Trị
Sytu xin giới thiệu đến quý thầy, cô giáo và các em học sinh lớp 9 bộ đề thi chính thức của kỳ thi tuyển sinh vào lớp 10 trường THPT chuyên môn Toán năm học 2022 – 2023 của sở Giáo dục và Đào tạo tỉnh Quảng Trị. Bộ đề thi bao gồm đề thi, đáp án, lời giải chi tiết và thang hướng dẫn chấm điểm; kỳ thi sẽ diễn ra vào ngày 06 tháng 06 năm 2022.
Trích dẫn bộ đề tuyển sinh lớp 10 THPT chuyên môn Toán năm 2022 – 2023 sở GD&ĐT Quảng Trị:
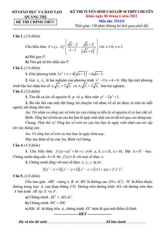
- Tìm tất cả các số nguyên tố p và q thỏa mãn 2^(p-1) + 2^(q-1) = 2^q.
- Ba cầu thủ của một đội bóng trò chuyện với nhau về số áo được in trên áo mỗi người, nội dung như sau:
- An: Tôi nhận ra rằng các số trên áo của chúng ta đều là số nguyên tố có hai chữ số.
- Bình: Tổng hai số trên áo của hai bạn là ngày sinh nhật của tôi đã trôi qua vào tháng này.
- Chung: Thật thú vị! Tổng hai số trên áo của hai bạn là ngày sinh nhật của tôi sắp tới vào tháng này.
- An: Và tổng hai số trên áo hai bạn là ngày hôm nay. Hãy xác định số áo của An, Bình và Chung.
- Cho biểu thức 2f(x) = ax^2 + bx + c (với abc ≠ 0). Đặt ∆ = b^2 – 4ac. Chứng minh rằng nếu ∆ ≤ 0 thì f(x) ≥ 0 với mọi số thực x.
File WORD (dành cho quý thầy, cô): [file đính kèm]