-
Đề thi vào lớp 10
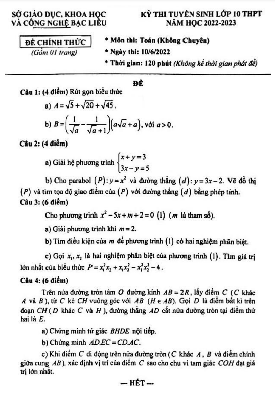
Đề tuyển sinh môn Toán (không chuyên) năm 2022 – 2023 sở GDKHCN Bạc Liêu
Chào đón quý thầy cô và các em học sinh lớp 9. Đây là đề thi chính thức kỳ thi tuyển sinh vào lớp 10 THPT môn Toán (không chuyên) năm học 2022 – 2023 của sở Giáo dục, Khoa học và Công nghệ tỉnh Bạc Liêu. Kỳ thi sẽ diễn ra vào sáng thứ Sáu ngày 10 tháng 06 năm 2022.
Trích đề tuyển sinh lớp 10 môn Toán (không chuyên) năm 2022 – 2023 sở GDKHCN Bạc Liêu:
1. Cho parabol (P): y = x² và đường thẳng (d): y = 3x – 2. Hãy vẽ đồ thị của (P) và tìm tọa độ giao điểm của (P) với đường thẳng (d) dựa trên phép tính.
2. Giải phương trình x² – 5x + m + 2 = 0 (m là tham số):
a) Giải phương trình khi m = 2.
b) Tìm điều kiện của m để phương trình (1) có hai nghiệm phân biệt.
c) Gọi x₁ và x₂ là hai nghiệm phân biệt của phương trình (1). Tìm giá trị lớn nhất của biểu thức P = x₁ + x₂.
3. Trên nửa đường tròn tâm O đường kính AB = 2R, vẽ điểm C (C khác A và B), kẻ CH vuông góc với AB (H thuộc AB). Gọi D là điểm bất kì trên đoạn CH (D khác C và H), đường thẳng AD cắt nửa đường tròn tại E.
a) Chứng minh tứ giác BHDE nội tiếp.
b) Chứng minh AD∙EC = CD∙AC.
c) Khi điểm C di chuyển trên nửa đường tròn (C khác A, B và trung điểm của cung AB), xác định vị trí của điểm C sao cho chu vi tam giác COH lớn nhất.