Đề tuyển sinh môn Toán (không chuyên) năm 2021 2022 trường PTNK TP HCM

  • Đề thi vào lớp 10

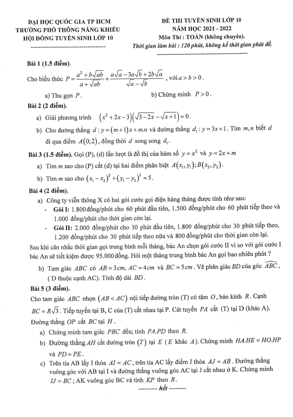
Đề tuyển sinh môn Toán (không chuyên) năm 2021-2022 trường PTNK TP HCM

Ở đây, Sytu muốn đem đến cho các thầy cô giáo và các em học sinh lời giải chi tiết và hướng dẫn chấm điểm đề tuyển sinh lớp 10 môn Toán (không chuyên) năm học 2021 – 2022 trường Phổ thông Năng khiếu, Đại học Quốc gia thành phố Hồ Chí Minh.

Ví dụ về một số câu hỏi trong đề tuyển sinh:

  • Gọi (P), (d) lần lượt là đồ thị của hàm số y = x^2 và y = 2x + m. Tìm m sao cho (P) cắt (d) tại hai điểm phân biệt A(x1;y1); B(x2;y2).
  • Công ty viễn thông X có hai gói cước gọi điện hàng tháng được tính như sau. Bác An chọn gói cước II vì so với gói cước I, bác An sẽ tiết kiệm được 95.000 đồng. Hỏi một tháng trung bình bác An gọi bao nhiêu phút?
  • Tam giác ABC có AB = 3cm, AC = 4cm và BC = 5cm. Vẽ phân giác BD của góc ABC (D thuộc cạnh AC). Tính độ dài BD.

Đề tuyển sinh môn Toán không chuyên năm 2021-2022 trường PTNK TP HCM dành cho các em học sinh muốn thử sức và khẳng định năng lực của mình. Hy vọng rằng thông tin này sẽ hữu ích cho bạn trong quá trình ôn tập và chuẩn bị cho kỳ thi sắp tới. Chúc các em thành công!

Đánh giá bài viết cho thầy/cô vui 

0 / 5 0

Your page rank:

Avatar of Phan Quang
       

Về tác giả : Phan Quang

Giáo viên Toán học xuất sắc, sinh năm 1985 tại Hà Nội. Tốt nghiệp Đại học Sư phạm Hà Nội với bằng cử nhân Toán học, thầy có hơn 10 năm kinh nghiệm giảng dạy cấp 2 và ôn thi vào 10. Năm 2024, thầy sáng lập website daygioi.com – nền tảng giáo dục trực tuyến miễn phí, cung cấp bài giảng video, bài tập tương tác và tài liệu ôn tập cho hàng ngàn học sinh Việt Nam. Với phong cách dạy gần gũi, sáng tạo, thầy luôn khơi dậy niềm đam mê Toán học qua ví dụ đời thường. Được phụ huynh và học sinh yêu mến, thầy là nguồn cảm hứng cho thế hệ giáo viên trẻ.

       

Xem nhiều bài của tác giả : Phan Quang