Đề tuyển sinh môn Toán (chuyên) năm 2023 2024 sở GD ĐT Vĩnh Phúc

  • Đề thi vào lớp 10

Đề thi tuyển sinh môn Toán (chuyên) năm 2023 2024 sở GD ĐT Vĩnh Phúc

Chào quý thầy cô và các em học sinh, SYTU hân hạnh giới thiệu đến quý vị đề chính thức cho kỳ thi tuyển sinh vào lớp 10 THPT môn Toán (chuyên) năm học 2023 – 2024 sở Giáo dục và Đào tạo tỉnh Vĩnh Phúc. Đề thi này dành cho thí sinh muốn vào lớp chuyên Toán và chuyên Tin học.

Trích dẫn một số câu hỏi trong đề tuyển sinh lớp 10 môn Toán (chuyên) năm 2023 – 2024 sở GD&ĐT Vĩnh Phúc:

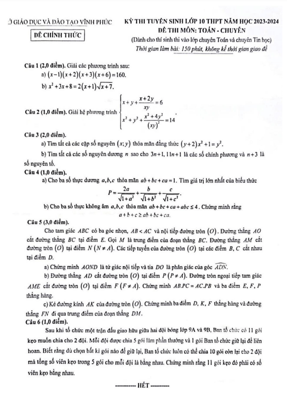
1. Tìm tất cả các cặp số nguyên (x;y) thỏa mãn đẳng thức (y + 2)x2 + 1 = y2.

2. Tìm tất cả các số nguyên dương n sao cho 3n + 1, 11n + 1 là các số chính phương và n + 3 là số nguyên tố.

3. Cho tam giác ABC có ba góc nhọn, AB

4. Sau khi tổ chức trận đấu giao hữu giữa hai đội bóng lớp 9A và 9B, Ban tổ chức có 11 gói kẹo muốn chia cho 2 đội. Mỗi đội sẽ được chia 5 gói làm phần thưởng và 1 gói Ban tổ chức giữ lại để liên hoan. Biết rằng dù chọn bất kì gói nào để giữ lại, Ban tổ chức luôn có thể chia 10 gói còn lại cho 2 đội mà tổng số viên kẹo trong 5 gói cho mỗi đội là bằng nhau. Chứng minh rằng 11 gói kẹo đó phải có số viên kẹo bằng nhau.

Hãy cùng tham gia và giải quyết những câu hỏi thú vị trong đề thi tuyển sinh này để thể hiện khả năng và kiến thức của mình nhé!

Đánh giá bài viết cho thầy/cô vui 

0 / 5 0

Your page rank:

Avatar of Phan Quang
       

Về tác giả : Phan Quang

Giáo viên Toán học xuất sắc, sinh năm 1985 tại Hà Nội. Tốt nghiệp Đại học Sư phạm Hà Nội với bằng cử nhân Toán học, thầy có hơn 10 năm kinh nghiệm giảng dạy cấp 2 và ôn thi vào 10. Năm 2024, thầy sáng lập website daygioi.com – nền tảng giáo dục trực tuyến miễn phí, cung cấp bài giảng video, bài tập tương tác và tài liệu ôn tập cho hàng ngàn học sinh Việt Nam. Với phong cách dạy gần gũi, sáng tạo, thầy luôn khơi dậy niềm đam mê Toán học qua ví dụ đời thường. Được phụ huynh và học sinh yêu mến, thầy là nguồn cảm hứng cho thế hệ giáo viên trẻ.

       

Xem nhiều bài của tác giả : Phan Quang