Đề tuyển sinh môn Toán (chuyên) năm 2023 2024 sở GD ĐT Bạc Liêu

  • Đề thi vào lớp 10

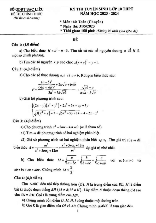
Đề thi tuyển sinh môn Toán (chuyên) năm 2023 – 2024 sở GD&ĐT Bạc Liêu

Chào các thầy cô giáo và các em học sinh, Sytu xin giới thiệu đến quý vị đề thi tuyển sinh vào lớp 10 THPT môn Toán (chuyên) năm học 2023 – 2024 của sở Giáo dục và Đào tạo tỉnh Bạc Liêu. Kỳ thi sẽ diễn ra vào ngày 31 tháng 05 năm 2023.

Dưới đây là một số câu hỏi trong đề thi:

1. Cho biểu thức ( H = n^2 – n – 5 ). Tìm tất cả các số nguyên dương n để H là một số chính phương. Tìm các số nguyên x, y sao cho: ( x(x + y)^2 = y – 1 ).

2. Cho tam giác ABC đều nội tiếp đường tròn (O). H là trung điểm của BC; M là điểm bất kì thuộc đoạn thẳng BH (M khác B; M khác H). Lấy điểm N thuộc đoạn thẳng CA sao cho CN = BM. Gọi I là trung điểm của MN. Cần chứng minh một số tính chất của các điểm O, M, H, I và tam giác MNK.

3. Cho đường tròn (O;R) có dây BC cố định (BC

Hy vọng rằng bài viết trên sẽ giúp các em học sinh chuẩn bị tốt cho kỳ thi sắp tới. Chúc các em thành công!

Đánh giá bài viết cho thầy/cô vui 

0 / 5 0

Your page rank:

Avatar of Phan Quang
       

Về tác giả : Phan Quang

Giáo viên Toán học xuất sắc, sinh năm 1985 tại Hà Nội. Tốt nghiệp Đại học Sư phạm Hà Nội với bằng cử nhân Toán học, thầy có hơn 10 năm kinh nghiệm giảng dạy cấp 2 và ôn thi vào 10. Năm 2024, thầy sáng lập website daygioi.com – nền tảng giáo dục trực tuyến miễn phí, cung cấp bài giảng video, bài tập tương tác và tài liệu ôn tập cho hàng ngàn học sinh Việt Nam. Với phong cách dạy gần gũi, sáng tạo, thầy luôn khơi dậy niềm đam mê Toán học qua ví dụ đời thường. Được phụ huynh và học sinh yêu mến, thầy là nguồn cảm hứng cho thế hệ giáo viên trẻ.

       

Xem nhiều bài của tác giả : Phan Quang