Đề tuyển sinh môn Toán (chuyên) năm 2022 2023 sở GD ĐT TP Hồ Chí Minh

  • Đề thi vào lớp 10

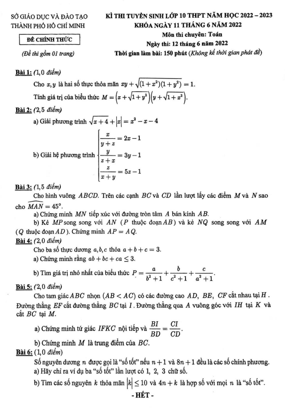
Đề tuyển sinh môn Toán (chuyên) năm 2022-2023 sở GDĐT TP Hồ Chí Minh

Chúng tôi xin giới thiệu đến quý thầy, cô giáo và các em học sinh lớp 9 đề thi chính thức kỳ thi tuyển sinh vào lớp 10 THPT môn Toán (chuyên) năm học 2022-2023 của sở Giáo dục và Đào tạo thành phố Hồ Chí Minh. Kỳ thi sẽ diễn ra vào chiều Chủ Nhật ngày 12 tháng 06 năm 2022. Đề thi bao gồm đáp án và lời giải chi tiết.

Cụ thể, trong đề thi có các bài toán như sau:

+ Bài toán 1: Cho hình vuông ABCD. Trên các cạnh BC và CD lần lượt lấy các điểm M và N sao cho MAN = 45°. Hãy chứng minh rằng MN tiếp xúc với đường tròn tâm A bán kính AB.

+ Bài toán 2: Cho tam giác ABC nhọn (AB

+ Bài toán 3: Số nguyên dương n được gọi là “số tốt” nếu n + 1 và 8n + 1 đều là các số chính phương. Hãy chỉ ra ví dụ ba “số tốt” lần lượt có 1, 2, 3 chữ số. Tìm các số nguyên k thỏa mãn |k|

Mong rằng các em học sinh sẽ ôn tập và làm bài thi tốt. Chúc quý thầy, cô giáo và các em thành công!

Đánh giá bài viết cho thầy/cô vui 

0 / 5 0

Your page rank:

Avatar of Phan Quang
       

Về tác giả : Phan Quang

Giáo viên Toán học xuất sắc, sinh năm 1985 tại Hà Nội. Tốt nghiệp Đại học Sư phạm Hà Nội với bằng cử nhân Toán học, thầy có hơn 10 năm kinh nghiệm giảng dạy cấp 2 và ôn thi vào 10. Năm 2024, thầy sáng lập website daygioi.com – nền tảng giáo dục trực tuyến miễn phí, cung cấp bài giảng video, bài tập tương tác và tài liệu ôn tập cho hàng ngàn học sinh Việt Nam. Với phong cách dạy gần gũi, sáng tạo, thầy luôn khơi dậy niềm đam mê Toán học qua ví dụ đời thường. Được phụ huynh và học sinh yêu mến, thầy là nguồn cảm hứng cho thế hệ giáo viên trẻ.

       

Xem nhiều bài của tác giả : Phan Quang