Đề tuyển sinh môn Toán (chuyên) năm 2021 2022 trường PTNK TP HCM

  • Đề thi vào lớp 10

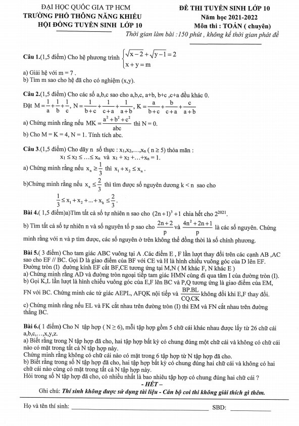
Đề tuyển sinh môn Toán (chuyên) năm 2021 – 2022 trường PTNK TP HCM

Sytu rất vinh dự được giới thiệu đến quý thầy cô và các em học sinh đề tuyển sinh lớp 10 môn Toán (chuyên) năm học 2021 – 2022 của trường Phổ thông Năng khiếu, Đại học Quốc gia thành phố Hồ Chí Minh. Đề tuyển sinh gồm nhiều câu hỏi thú vị và thách thức, một trong số đó là: Cho tam giác ABC vuông tại A. Các điểm E, F lần lượt thay đổi trên các cạnh AB, AC sao cho EF // BC. Gọi D là giao điểm của BF với CE và H là hình chiếu vuông góc của D lên EF. Đường tròn (I) đường kính EF cắt BF, CE tại M, N (M khác F, N khác E). Câu hỏi này đòi hỏi sự tỉ mỉ và suy luận logic.

Để giúp các em học sinh hiểu rõ hơn về đề tuyển sinh, Sytu đã cung cấp đáp án, lời giải chi tiết và hướng dẫn chấm điểm. Các em sẽ được tìm hiểu và áp dụng kiến thức Toán một cách linh hoạt và sáng tạo.

Ngoài ra, trong đề tuyển sinh cũng có câu hỏi thú vị khác như: Cho N tập hợp (N > 6), mỗi tập hợp gồm 5 chữ cái khác nhau được lấy từ 26 chữ cái a, b, c, …, x, y, z. Đây là bài toán kỹ thuật, yêu cầu sự tư duy logic và khả năng suy luận.

Mục tiêu của Đề tuyển sinh môn Toán (chuyên) năm 2021 – 2022 trường PTNK TP HCM không chỉ là kiểm tra kiến thức mà còn là khuyến khích sự sáng tạo, tư duy logic và khả năng giải quyết vấn đề của các em học sinh.

Hãy cùng Sytu trải nghiệm và đối mặt với những thách thức trong Đề tuyển sinh này nhé! Chúc các em học sinh thành công và tự tin trước mỗi câu hỏi.

Đánh giá bài viết cho thầy/cô vui 

0 / 5 0

Your page rank:

Avatar of Phan Quang
       

Về tác giả : Phan Quang

Giáo viên Toán học xuất sắc, sinh năm 1985 tại Hà Nội. Tốt nghiệp Đại học Sư phạm Hà Nội với bằng cử nhân Toán học, thầy có hơn 10 năm kinh nghiệm giảng dạy cấp 2 và ôn thi vào 10. Năm 2024, thầy sáng lập website daygioi.com – nền tảng giáo dục trực tuyến miễn phí, cung cấp bài giảng video, bài tập tương tác và tài liệu ôn tập cho hàng ngàn học sinh Việt Nam. Với phong cách dạy gần gũi, sáng tạo, thầy luôn khơi dậy niềm đam mê Toán học qua ví dụ đời thường. Được phụ huynh và học sinh yêu mến, thầy là nguồn cảm hứng cho thế hệ giáo viên trẻ.

       

Xem nhiều bài của tác giả : Phan Quang