Đề tuyển sinh chuyên môn Toán năm 2021 2022 sở GD ĐT Hải Phòng

  • Đề thi vào lớp 10

Đề tuyển sinh chuyên môn Toán năm 2021-2022 sở GD&ĐT Hải Phòng

Sytu xin gửi đến quý thầy, cô giáo và các em học sinh đề tuyển sinh lớp 10 chuyên môn Toán năm 2021-2022 sở GD&ĐT Hải Phòng. Đề thi bao gồm đáp án, lời giải chi tiết và hướng dẫn chấm điểm từ bảng chính thức do sở Giáo dục và Đào tạo thành phố Hải Phòng công bố.

Trích dẫn đề tuyển sinh lớp 10 chuyên môn Toán năm 2021-2022 sở GD&ĐT Hải Phòng:

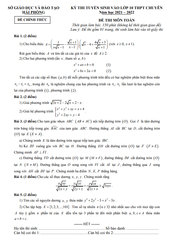
  1. Cho hai phương trình (ẩn x; tham số a b). Tìm tất cả các cặp số thực (a;b) để mỗi phương trình trên đều có hai nghiệm phân biệt thỏa mãn 21x + 0 = x, trong đó 0 không phải là nghiệm của mỗi phương trình, và 1, 2 là hai nghiệm của từng phương trình.

  2. Cho tam giác nhọn ABC (AB > AC) nội tiếp đường tròn (O). Gọi I là tâm đường tròn ngoại tiếp trong góc BAC của tam giác ABC. Đường thẳng AI cắt BC tại D, cắt đường tròn (O) tại E (E không phải là A). Chứng minh các điều kiện của tam giác ABC.

  3. Cho tập hợp X = {1, 2, 3, …, 101}. Tìm số tự nhiên n (n ≥ 3) nhỏ nhất sao cho với mọi tập con A tùy ý gồm n phần tử của X sẽ tồn tại 3 phần tử đôi một phân biệt abc thỏa mãn abc.

Đề tuyển sinh này sẽ giúp các em học sinh ôn tập và củng cố kiến thức Toán một cách hiệu quả, chuẩn bị tốt nhất cho kỳ thi sắp tới. Mong rằng đề thi sẽ mang lại những thử thách thú vị và khám phá cho các em.

Đánh giá bài viết cho thầy/cô vui 

0 / 5 0

Your page rank:

Avatar of Phan Quang
       

Về tác giả : Phan Quang

Giáo viên Toán học xuất sắc, sinh năm 1985 tại Hà Nội. Tốt nghiệp Đại học Sư phạm Hà Nội với bằng cử nhân Toán học, thầy có hơn 10 năm kinh nghiệm giảng dạy cấp 2 và ôn thi vào 10. Năm 2024, thầy sáng lập website daygioi.com – nền tảng giáo dục trực tuyến miễn phí, cung cấp bài giảng video, bài tập tương tác và tài liệu ôn tập cho hàng ngàn học sinh Việt Nam. Với phong cách dạy gần gũi, sáng tạo, thầy luôn khơi dậy niềm đam mê Toán học qua ví dụ đời thường. Được phụ huynh và học sinh yêu mến, thầy là nguồn cảm hứng cho thế hệ giáo viên trẻ.

       

Xem nhiều bài của tác giả : Phan Quang