Đề tuyển sinh chuyên môn Toán năm 2020 2021 sở GD ĐT Cao Bằng

  • Đề thi vào lớp 10

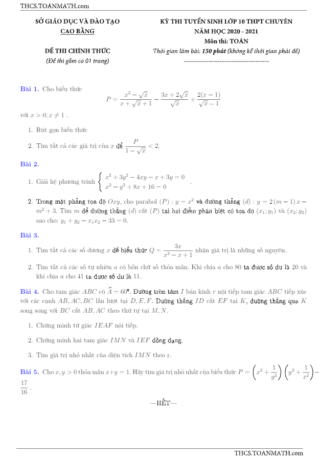
Đề tuyển sinh chuyên môn Toán năm 2020 – 2021 sở GD&ĐT Cao Bằng

Đề tuyển sinh lớp 10 chuyên môn Toán năm 2020 – 2021 sở GD&ĐT Cao Bằng bao gồm 01 trang với 05 bài toán dạng tự luận, học sinh có thời gian làm bài thi là 150 phút.

Trích dẫn đề tuyển sinh lớp 10 chuyên môn Toán năm 2020 – 2021 sở GD&ĐT Cao Bằng:

+ Trong mặt phẳng tọa độ Oxy, cho parabol (P) : y = x^2 và đường thẳng (d) : y = 2(m – 1)x – m^2 + 3. Tìm m để đường thẳng (d) cắt (P) tại hai điểm phân biệt có tọa độ (x1, y1) và (x2, y2) sao cho: y1 + y2 – x1x2 – 33 = 0.
+ Tìm tất cả các số dương x để biểu thức Q = 3x/(x^2 – x + 1) nhận giá trị là những số nguyên.
+ Tìm tất cả các số tự nhiên a có bốn chữ số thỏa mãn. Khi chia a cho 80 ta được số dư là 20 và khi chia a cho 41 ta được số dư là 11.

Đề tuyển sinh này đặt ra những bài toán phức tạp nhưng hấp dẫn, đòi hỏi học sinh phải có kiến thức vững và biết áp dụng lẽ logic để giải quyết. Qua đề thi này, học sinh sẽ có cơ hội thể hiện khả năng toán học của mình một cách sáng sủa và chính xác.

Đánh giá bài viết cho thầy/cô vui 

0 / 5 0

Your page rank:

Avatar of Phan Quang
       

Về tác giả : Phan Quang

Giáo viên Toán học xuất sắc, sinh năm 1985 tại Hà Nội. Tốt nghiệp Đại học Sư phạm Hà Nội với bằng cử nhân Toán học, thầy có hơn 10 năm kinh nghiệm giảng dạy cấp 2 và ôn thi vào 10. Năm 2024, thầy sáng lập website daygioi.com – nền tảng giáo dục trực tuyến miễn phí, cung cấp bài giảng video, bài tập tương tác và tài liệu ôn tập cho hàng ngàn học sinh Việt Nam. Với phong cách dạy gần gũi, sáng tạo, thầy luôn khơi dậy niềm đam mê Toán học qua ví dụ đời thường. Được phụ huynh và học sinh yêu mến, thầy là nguồn cảm hứng cho thế hệ giáo viên trẻ.

       

Xem nhiều bài của tác giả : Phan Quang