Đề tuyển sinh chuyên môn Toán (chuyên Toán) năm 2021 2022 sở GD ĐT Quảng Nam

  • Đề thi vào lớp 10

Đề tuyển sinh chuyên môn Toán (chuyên Toán) năm 2021 – 2022 sở GD ĐT Quảng Nam

Sytu xin giới thiệu đến quý thầy cô và các em học sinh đề tuyển sinh lớp 10 chuyên môn Toán (chuyên Toán) năm 2021 – 2022 sở GD&ĐT Quảng Nam. Đề thi này bao gồm đáp án và lời giải chi tiết, kỳ thi sẽ diễn ra vào ngày 03 – 05 tháng 06 năm 2021.

Đề tuyển sinh lớp 10 chuyên môn Toán (chuyên Toán) năm 2021 – 2022 sở GD&ĐT Quảng Nam:

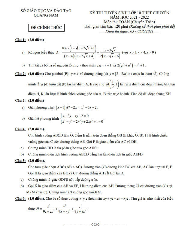
  1. Cho parabol (P): y^2 = 2x và đường thẳng (d): y = mx + m^2 (m là tham số). Chứng minh rằng (d) luôn cắt (P) tại hai điểm A, B sao cho điểm M là trung điểm của đoạn thẳng AB, hai điểm H, K lần lượt là hình chiếu vuông góc của A, B trên trục hoành. Hãy tính độ dài đoạn thẳng KH.
  2. Cho hình vuông ABCD có tâm O, điểm E nằm trên đoạn thẳng OB (E khác O, B), H là hình chiếu vuông góc của C trên đường thẳng AE. Gọi F là giao điểm của AC và DH.
    • a) Chứng minh rằng HD là tia phân giác của góc AHC.
    • b) Chứng minh rằng diện tích hình vuông ABCD bằng hai lần diện tích tứ giác AEFD.
  3. Cho tam giác nhọn ABC (AB
  4. a) Chứng minh rằng tứ giác ODFE nội tiếp đường tròn.
  5. b) Gọi K là giao điểm của AH và EF, I là trung điểm của AH. Đường thẳng CI cắt đường tròn (O) tại M (M khác C). Chứng minh rằng CI vuông góc với KM.

Đánh giá bài viết cho thầy/cô vui 

0 / 5 0

Your page rank:

Avatar of Phan Quang
       

Về tác giả : Phan Quang

Giáo viên Toán học xuất sắc, sinh năm 1985 tại Hà Nội. Tốt nghiệp Đại học Sư phạm Hà Nội với bằng cử nhân Toán học, thầy có hơn 10 năm kinh nghiệm giảng dạy cấp 2 và ôn thi vào 10. Năm 2024, thầy sáng lập website daygioi.com – nền tảng giáo dục trực tuyến miễn phí, cung cấp bài giảng video, bài tập tương tác và tài liệu ôn tập cho hàng ngàn học sinh Việt Nam. Với phong cách dạy gần gũi, sáng tạo, thầy luôn khơi dậy niềm đam mê Toán học qua ví dụ đời thường. Được phụ huynh và học sinh yêu mến, thầy là nguồn cảm hứng cho thế hệ giáo viên trẻ.

       

Xem nhiều bài của tác giả : Phan Quang