Đề tuyển sinh chuyên môn Toán (chuyên) 2022 2023 sở GD ĐT Gia Lai

  • Đề thi vào lớp 10

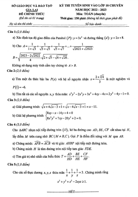
Đề thi tuyển sinh chuyên Toán (chuyên) 2022 2023 sở GD ĐT Gia Lai

Sytu xin gửi đến quý thầy cô và các em học sinh lớp 9 đề thi chính thức kỳ thi tuyển sinh vào lớp 10 chuyên môn Toán (chuyên) năm học 2022 – 2023 của sở Giáo dục và Đào tạo tỉnh Gia Lai. Kỳ thi sẽ diễn ra vào sáng thứ Sáu ngày 10 tháng 06 năm 2022.

Đề tuyển sinh lớp 10 chuyên môn Toán (chuyên) 2022 – 2023 sở GD&ĐT Gia Lai bao gồm các câu hỏi sau:

  1. Tìm một đa thức bậc ba P(x) với hệ số nguyên, biết x là một nghiệm của P(x) và P(1) = -6.
  2. Tìm tất cả các số nguyên x, y thỏa mãn phương trình: x^2y^2 – 2x^2y + 3x^2 + 4xy – 4x + 2y^2 – 4y – 1 = 0.
  3. Cho tam giác ABC nhọn nội tiếp đường tròn (O), kẻ ba đường cao AD, BE, CF cắt nhau tại H, lấy điểm M trên cung nhỏ BC (M khác B và C). Gọi P là điểm đối xứng với M qua AB. Chứng minh rằng APB = ACB và tứ giác AHBP nội tiếp đường tròn. Chứng minh rằng H là tâm đường tròn nội tiếp tam giác FDE. Tìm giá trị nhỏ nhất của biểu thức T.

Hi vọng các em sẽ tự tin và làm tốt trong kỳ thi sắp tới. Chúc các em đạt được kết quả cao trong bài thi sắp tới!

Đánh giá bài viết cho thầy/cô vui 

0 / 5 0

Your page rank:

Avatar of Phan Quang
       

Về tác giả : Phan Quang

Giáo viên Toán học xuất sắc, sinh năm 1985 tại Hà Nội. Tốt nghiệp Đại học Sư phạm Hà Nội với bằng cử nhân Toán học, thầy có hơn 10 năm kinh nghiệm giảng dạy cấp 2 và ôn thi vào 10. Năm 2024, thầy sáng lập website daygioi.com – nền tảng giáo dục trực tuyến miễn phí, cung cấp bài giảng video, bài tập tương tác và tài liệu ôn tập cho hàng ngàn học sinh Việt Nam. Với phong cách dạy gần gũi, sáng tạo, thầy luôn khơi dậy niềm đam mê Toán học qua ví dụ đời thường. Được phụ huynh và học sinh yêu mến, thầy là nguồn cảm hứng cho thế hệ giáo viên trẻ.

       

Xem nhiều bài của tác giả : Phan Quang