-
Đề thi vào lớp 10
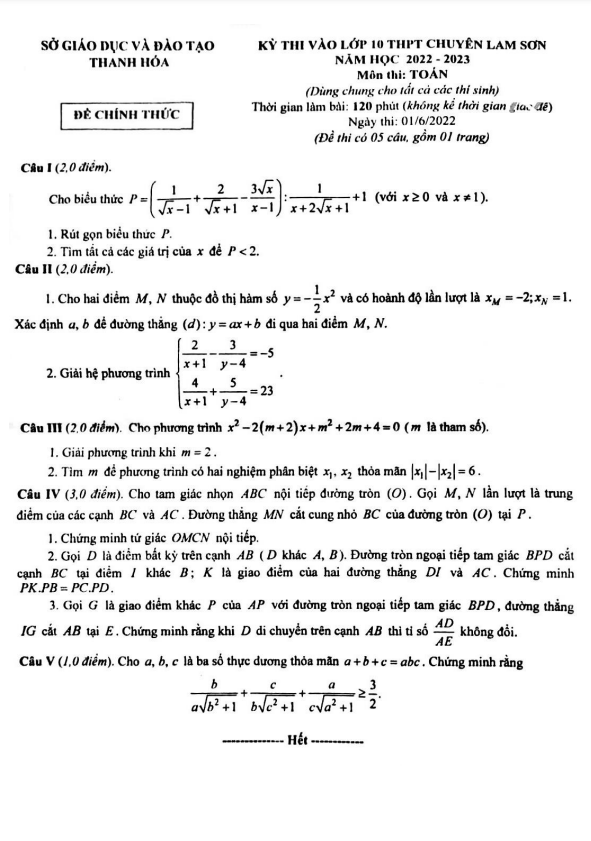
Đề thi vào lớp 10 môn Toán năm học 2022-2023 trường chuyên Lam Sơn Thanh Hóa
Sytu xin gửi đến quý thầy cô và các em học sinh lớp 9 đề thi chính thức tuyển sinh vào lớp 10 THPT môn Toán năm học 2022-2023 của trường THPT chuyên Lam Sơn, tỉnh Thanh Hóa. Đây là đề thi dùng chung cho tất cả các thí sinh (đề thi vòng 1/đề Toán điều kiện) và sẽ diễn ra vào thứ Tư ngày 01 tháng 06 năm 2022.
Đề thi bao gồm các câu hỏi sau:
- Cho hai điểm M, N thuộc đồ thị hàm số y = -1/2x^2 và có hoành độ lần lượt là xM = -2; xN = 1. Xác định a, b để đường thẳng (d): y = ax + b đi qua hai điểm M, N.
- Cho phương trình x^2 – 2(m + 2)x + m^2 + 2m + 4 = 0 (m là tham số).
- Giải phương trình khi m = 2.
- Tìm m để phương trình có hai nghiệm phân biệt x1 và x2 thỏa mãn |x1| – |x2| = 6.
- Cho tam giác nhọn ABC nội tiếp đường tròn (O). Gọi M, N lần lượt là trung điểm của các cạnh BC và AC. Đường thẳng MN cắt cung nhỏ BC của đường tròn (O) tại P.
- Chứng minh tứ giác OMCN nội tiếp.
- Gọi D là điểm bất kỳ trên cạnh AB (D khác A, B). Đường tròn ngoại tiếp tam giác BPD cắt cạnh BC tại điểm I khác B; K là giao điểm của hai đường thẳng DI và AC. Chứng minh PK.PB = PC.PD.
- Gọi G là giao điểm khác P của AP với đường tròn ngoại tiếp tam giác BPD, đường thẳng IG cắt AB tại E. Chứng minh rằng khi D di chuyển trên cạnh AB thì tỉ số AD/AE không đổi.
Đề thi đòi hỏi sự nhanh nhạy, logic và kiến thức sâu rộng của học sinh. Chúc quý thí sinh thi tốt và đạt kết quả cao!