Đề thi vào 10 môn Toán (chuyên) năm 2021 2022 trường chuyên Lê Hồng Phong Nam Định

  • Đề thi vào lớp 10

Đề thi vào 10 môn Toán (chuyên) năm 2021 – 2022 trường chuyên Lê Hồng Phong Nam Định

Sytu xin giới thiệu đến quý thầy cô giáo và các em học sinh đề thi vào 10 môn Toán (chuyên) năm 2021 – 2022 trường chuyên Lê Hồng Phong – Nam Định. Đề thi bao gồm đáp án, lời giải chi tiết, hướng dẫn chấm và biểu điểm (công bố bởi sở Giáo dục và Đào tạo tỉnh Nam Định).

Trích đề thi vào 10 môn Toán (chuyên) năm 2021 – 2022 trường chuyên Lê Hồng Phong – Nam Định:

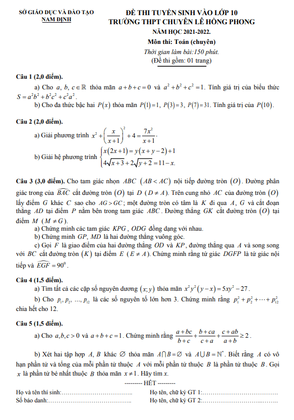
  • Cho tam giác nhọn ABC (AB AC) nội tiếp đường tròn (O). Đường phân giác trong của BAC cắt đường tròn (O) tại D D A. Trên cung nhỏ AC của đường tròn (O) lấy điểm G khác C sao cho AG GC; một đường tròn có tâm là K đi qua A, G và cắt đoạn thẳng AD tại điểm P nằm bên trong tam giác ABC. Đường thẳng GK cắt đường tròn (O) tại điểm M M G.
  • Xét hai tập hợp A B khác ∅ thỏa mãn A B và A B. Biết rằng A có vô hạn phần tử và tổng của mỗi phần tử thuộc A với mỗi phần tử thuộc B là phần tử thuộc B. Gọi x là phần tử bé nhất thuộc B thỏa mãn x ≠ 1. Hãy tìm x.
  • Cho 1 2 12 pp p … là các số nguyên tố lớn hơn 3. Chứng minh rằng 22 2 1 2 12 pp p chia hết cho 12.

Bạn có thể tải file WORD (dành cho quý thầy, cô) để xem đầy đủ nội dung đề thi.

Đánh giá bài viết cho thầy/cô vui 

0 / 5 0

Your page rank:

Avatar of Phan Quang
       

Về tác giả : Phan Quang

Giáo viên Toán học xuất sắc, sinh năm 1985 tại Hà Nội. Tốt nghiệp Đại học Sư phạm Hà Nội với bằng cử nhân Toán học, thầy có hơn 10 năm kinh nghiệm giảng dạy cấp 2 và ôn thi vào 10. Năm 2024, thầy sáng lập website daygioi.com – nền tảng giáo dục trực tuyến miễn phí, cung cấp bài giảng video, bài tập tương tác và tài liệu ôn tập cho hàng ngàn học sinh Việt Nam. Với phong cách dạy gần gũi, sáng tạo, thầy luôn khơi dậy niềm đam mê Toán học qua ví dụ đời thường. Được phụ huynh và học sinh yêu mến, thầy là nguồn cảm hứng cho thế hệ giáo viên trẻ.

       

Xem nhiều bài của tác giả : Phan Quang