Đề thi vào 10 môn Toán (chung) năm 2021 2022 trường chuyên Lê Hồng Phong Nam Định (Đề 1)

  • Đề thi vào lớp 10

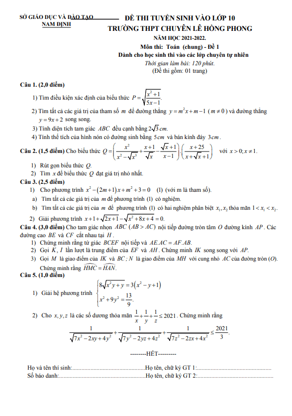
Đề thi vào 10 môn Toán (chung) năm 2021 – 2022 trường chuyên Lê Hồng Phong Nam Định (Đề 1)

Trong đề thi này, chúng ta sẽ cùng tìm hiểu và giải quyết các bài toán thú vị có trong đề thi vào 10 môn Toán (chung) năm 2021 – 2022 của trường chuyên Lê Hồng Phong Nam Định. Hãy cùng Sytu đến với các câu hỏi và bài toán thú vị sau:

– Cho tam giác nhọn ABC, AB AC nội tiếp đường tròn tâm O đường kính AP. Các đường cao BE và CF cắt nhau tại H. Chúng ta sẽ chứng minh rằng tứ giác BCEF nội tiếp và AE AC AF AB. Sau đó, chúng ta sẽ chứng minh IK song song với AP và HMC HAN.

– Tiếp theo, chúng ta sẽ tìm tất cả các giá trị của tham số m để hai đường thẳng 2ymx + m (m ≠ 0) và yx 9 2 song song.

– Cuối cùng, chúng ta sẽ tính thể tích của hình nón có đáy bằng 5cm và bán kính đáy 3cm. Đề thi này đòi hỏi sự tỉ mỉ và chính xác trong các phép tính và bài toán hình học.

Đề thi này là cơ hội để các em học sinh thể hiện kiến thức và kỹ năng của mình. Hãy cùng nhau học tập và vượt qua thách thức này nhé!

Đánh giá bài viết cho thầy/cô vui 

0 / 5 0

Your page rank:

Avatar of Phan Quang
       

Về tác giả : Phan Quang

Giáo viên Toán học xuất sắc, sinh năm 1985 tại Hà Nội. Tốt nghiệp Đại học Sư phạm Hà Nội với bằng cử nhân Toán học, thầy có hơn 10 năm kinh nghiệm giảng dạy cấp 2 và ôn thi vào 10. Năm 2024, thầy sáng lập website daygioi.com – nền tảng giáo dục trực tuyến miễn phí, cung cấp bài giảng video, bài tập tương tác và tài liệu ôn tập cho hàng ngàn học sinh Việt Nam. Với phong cách dạy gần gũi, sáng tạo, thầy luôn khơi dậy niềm đam mê Toán học qua ví dụ đời thường. Được phụ huynh và học sinh yêu mến, thầy là nguồn cảm hứng cho thế hệ giáo viên trẻ.

       

Xem nhiều bài của tác giả : Phan Quang