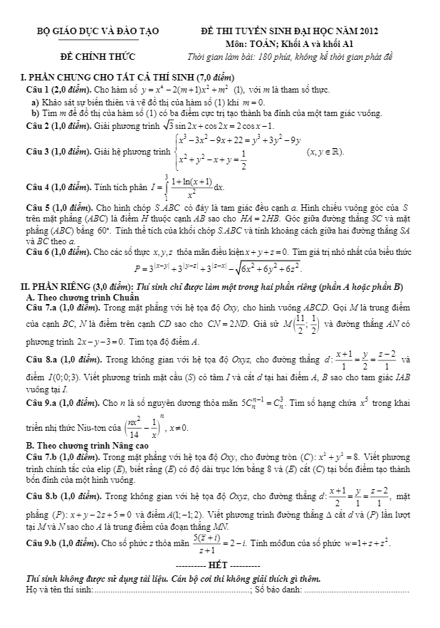
Đề thi và đáp án môn Toán khối A năm 2012

  • Đề THPT Chính Thức

Đề thi và đáp án môn Toán khối A năm 2012:

Trong năm 2012, đề thi và đáp án môn Toán khối A đã được công bố. Đây là một tài liệu quan trọng giúp học sinh ôn tập và kiểm tra kiến thức của mình. Đề thi và đáp án cung cấp thông tin chi tiết về nội dung kiểm tra, các dạng bài tập và câu hỏi mẫu giúp học sinh luyện tập hiệu quả.

Đánh giá bài viết cho thầy/cô vui 

0 / 5 0

Your page rank:

Avatar of Phan Quang
       

Về tác giả : Phan Quang

Giáo viên Toán học xuất sắc, sinh năm 1985 tại Hà Nội. Tốt nghiệp Đại học Sư phạm Hà Nội với bằng cử nhân Toán học, thầy có hơn 10 năm kinh nghiệm giảng dạy cấp 2 và ôn thi vào 10. Năm 2024, thầy sáng lập website daygioi.com – nền tảng giáo dục trực tuyến miễn phí, cung cấp bài giảng video, bài tập tương tác và tài liệu ôn tập cho hàng ngàn học sinh Việt Nam. Với phong cách dạy gần gũi, sáng tạo, thầy luôn khơi dậy niềm đam mê Toán học qua ví dụ đời thường. Được phụ huynh và học sinh yêu mến, thầy là nguồn cảm hứng cho thế hệ giáo viên trẻ.

       

Xem nhiều bài của tác giả : Phan Quang