Đề thi thử vào năm 2020 2021 trường THCS Kim Giang Hà Nội

  • Đề thi vào lớp 10

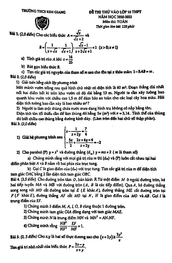
Đề thi thử vào năm 2020-2021 trường THCS Kim Giang Hà Nội

Sytu xin được giới thiệu đến quý thầy cô và các em học sinh đề thi thử vào lớp 10 năm học 2020-2021 của trường THCS Kim Giang, Hà Nội. Đề thi được biên soạn theo chuẩn cấu trúc đề tuyển sinh vào lớp 10 THPT của sở Giáo dục và Đào tạo thành phố Hà Nội những năm gần đây.

Dưới đây là một số câu hỏi mẫu trong đề thi thử:

1. Một mảnh vườn trồng rau quả hình chữ nhật có diện tích là 60 m2. Đoạn thẳng dài nhất nối hai điểm bất kỳ trên khu vườn có độ dài bằng 13 m. Người ta cần xây tường bao quanh khu vườn với chiều cao 1,5 m để đảm bảo an toàn cho các loại cây hoa màu. Hỏi diện tích tường cần xây là bao nhiêu mét vuông?

2. Người ta làm một thùng chứa nước mưa dạng hình trụ không có nắp bằng tôn. Diện tích tôn tối thiểu cần để làm thùng đó bằng 5π (m2) với π = 3,14. Tính thể tích của thùng đó biết chiều cao thùng bằng đường kính đáy (làm tròn đến hai chữ số thập phân).

3. Cho parabol (P): y = x2 và đường thẳng (dm): y = mx + 2 (m là tham số). a) Chứng minh rằng với mọi giá trị của m thì (dm) và (P) luôn cắt nhau tại hai điểm phân biệt A và B nằm về hai phía của trục tung. b) Gọi C là giao điểm của (dm) với trục tung. Tìm các giá trị của m để diện tích tam giác OAC bằng 2 lần diện tích tam giác OBC.

Đề thi thử này sẽ giúp các em học sinh ôn tập và chuẩn bị tốt nhất cho kì thi sắp tới. Chúc các em đạt kết quả cao!

Đánh giá bài viết cho thầy/cô vui 

0 / 5 0

Your page rank:

Avatar of Phan Quang
       

Về tác giả : Phan Quang

Giáo viên Toán học xuất sắc, sinh năm 1985 tại Hà Nội. Tốt nghiệp Đại học Sư phạm Hà Nội với bằng cử nhân Toán học, thầy có hơn 10 năm kinh nghiệm giảng dạy cấp 2 và ôn thi vào 10. Năm 2024, thầy sáng lập website daygioi.com – nền tảng giáo dục trực tuyến miễn phí, cung cấp bài giảng video, bài tập tương tác và tài liệu ôn tập cho hàng ngàn học sinh Việt Nam. Với phong cách dạy gần gũi, sáng tạo, thầy luôn khơi dậy niềm đam mê Toán học qua ví dụ đời thường. Được phụ huynh và học sinh yêu mến, thầy là nguồn cảm hứng cho thế hệ giáo viên trẻ.

       

Xem nhiều bài của tác giả : Phan Quang