-
Đề thi vào lớp 10
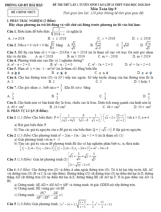
Đề thi thử môn Toán vào lớp 10 phòng GD và ĐT Hải Hậu – Nam Định
Đề thi thử lần 1 vào lớp 10 môn Toán tại phòng GD và ĐT Hải Hậu – Nam Định đã được biên soạn theo hình thức trắc nghiệm và tự luận. Đề thi bao gồm 8 câu hỏi trắc nghiệm (chiếm 20% số điểm) và 5 bài toán tự luận (chiếm 80% số điểm), giúp học sinh rèn luyện kỹ năng giải toán và làm quen với cấu trúc đề thi chính thức.
Trích dẫn một số câu hỏi trong đề thi thử môn Toán:
- Đồ thị của hàm số y = (m – 2019)x + m + 2018 tạo với trục Ox góc nhọn khi và chỉ khi điều gì xảy ra?
- Hình nón có bán kính đáy là 6cm, chiều cao là 8cm. Tính diện tích xung quanh của hình nón?
- Cho hai đường tròn (O) và (O’) tiếp xúc ngoài. Số tiếp tuyến chung của hai đường tròn đó là bao nhiêu?
Đề thi đi kèm với đáp án và lời giải chi tiết, giúp học sinh tự kiểm tra kết quả và hiểu rõ cách giải của từng bài toán. Thời gian làm bài là 120 phút, đủ để thí sinh thể hiện kiến thức và kỹ năng của mình. Đề thi là cơ hội tốt để học sinh ôn tập và chuẩn bị tốt cho kỳ thi chính thức sắp tới.