Đề thi thử vào môn Toán lần 1 năm 2021 trường chuyên ĐHSP Hà Nội

  • Đề thi vào lớp 10

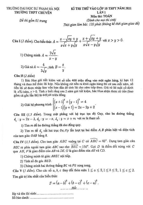
Đề thi thử vào lớp 10 môn Toán lần 1 năm 2021 trường chuyên ĐHSP Hà Nội

Đề thi thử vào lớp 10 môn Toán lần 1 năm 2021 trường chuyên ĐHSP Hà Nội bao gồm 01 trang với 05 bài toán dạng tự luận. Thời gian làm bài là 120 phút. Đây là bài thi mang tính chất thử nghiệm, giúp học sinh ôn tập và chuẩn bị tốt cho kì thi chính thức.

Đánh giá bài viết cho thầy/cô vui 

0 / 5 0

Your page rank:

Avatar of Phan Quang
       

Về tác giả : Phan Quang

Giáo viên Toán học xuất sắc, sinh năm 1985 tại Hà Nội. Tốt nghiệp Đại học Sư phạm Hà Nội với bằng cử nhân Toán học, thầy có hơn 10 năm kinh nghiệm giảng dạy cấp 2 và ôn thi vào 10. Năm 2024, thầy sáng lập website daygioi.com – nền tảng giáo dục trực tuyến miễn phí, cung cấp bài giảng video, bài tập tương tác và tài liệu ôn tập cho hàng ngàn học sinh Việt Nam. Với phong cách dạy gần gũi, sáng tạo, thầy luôn khơi dậy niềm đam mê Toán học qua ví dụ đời thường. Được phụ huynh và học sinh yêu mến, thầy là nguồn cảm hứng cho thế hệ giáo viên trẻ.

       

Xem nhiều bài của tác giả : Phan Quang