Đề thi thử vào 10 năm 2020 2021 môn Toán trường THCS Thi Văn Tám Long An

  • Đề thi vào lớp 10

Đề thi thử vào 10 năm 2020 2021 môn Toán trường THCS Thi Văn Tám Long An

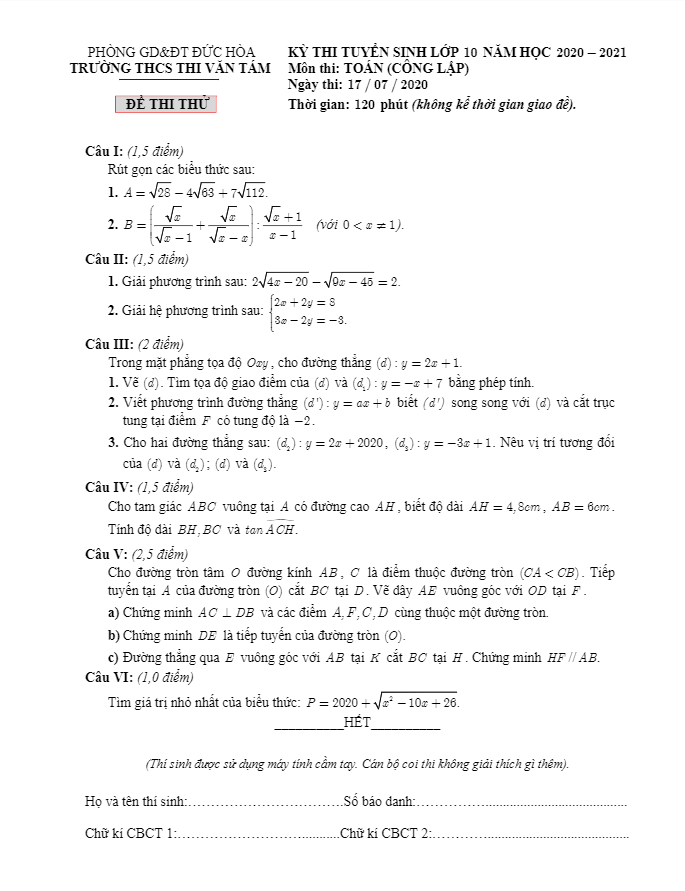
Chào các thầy cô giáo và các em học sinh, Sytu xin giới thiệu đến các bạn đề thi thử tuyển sinh vào lớp 10 hệ công lập năm học 2020 – 2021 môn Toán trường THCS Thi Văn Tám – Long An. Đề thi bao gồm 6 bài toán dạng tự luận, độ khó phù hợp với chương trình học Toán cấp THCS. Thời gian làm bài được quy định là 120 phút, đề thi cung cấp lời giải chi tiết để học sinh tham khảo sau khi hoàn thành bài thi.

Trích đề thi thử vào 10 năm 2020 – 2021 môn Toán trường THCS Thi Văn Tám – Long An:

+ Đề bài 1: Cho đường tròn tâm O đường kính AB, C là điểm thuộc đường tròn (CA

+ Đề bài 2: Trong tam giác ABC vuông tại A có đường cao AH, biết AH = 4,8 cm, AB = 6 cm. Tính độ dài BH, BC và giá trị của tan ACH.

+ Đề bài 3: Tìm giá trị nhỏ nhất của biểu thức: P = 2020+ √(x^2 – 10x + 26).

Đây là một bài thi thử có tính chất phản ánh khả năng giải quyết vấn đề toán học của học sinh, giúp họ rèn luyện kỹ năng tư duy logic, suy luận và tính toán. Hy vọng rằng đề thi sẽ giúp các em chuẩn bị tốt cho kì thi tuyển sinh sắp tới.

Đánh giá bài viết cho thầy/cô vui 

0 / 5 0

Your page rank:

Avatar of Phan Quang
       

Về tác giả : Phan Quang

Giáo viên Toán học xuất sắc, sinh năm 1985 tại Hà Nội. Tốt nghiệp Đại học Sư phạm Hà Nội với bằng cử nhân Toán học, thầy có hơn 10 năm kinh nghiệm giảng dạy cấp 2 và ôn thi vào 10. Năm 2024, thầy sáng lập website daygioi.com – nền tảng giáo dục trực tuyến miễn phí, cung cấp bài giảng video, bài tập tương tác và tài liệu ôn tập cho hàng ngàn học sinh Việt Nam. Với phong cách dạy gần gũi, sáng tạo, thầy luôn khơi dậy niềm đam mê Toán học qua ví dụ đời thường. Được phụ huynh và học sinh yêu mến, thầy là nguồn cảm hứng cho thế hệ giáo viên trẻ.

       

Xem nhiều bài của tác giả : Phan Quang